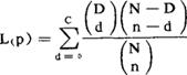
抽样检验接收概率
指抽样检验中,在不合格品率一定的条件下,从一批产品N件中发现的不合格品件数d,小于和等于可接收的合格判定数c的概率。 其计算方法如下: (1)当批量N不大(1000以下)时,可根据超几何分布原理按下式进行精确计算:  式中:L(p)表示接收概率;D表示批不合格品数,D=N·P; 表示从批的不合格数D中抽出d个不合格品的全部组合数; 表示从批的合格品数(N-D)中抽出(n-d)个合格品的全部组合数; 表示从批量为N的一批产品中抽取n个单位产品的全部组合数。 (2)当批量N较大(1000以上)或抽样比n/N小于10%时,可根据二项分布原理按下式作近似计算:  式中: 表示从大小为n的样本中含不合格品数为d的全部组合数。 (3)当合格判定数c较大时,可根据泊松分布原理按下式作近似计算:  式中:e表示自然对数的底,e=2.7183……。 |