网站首页  词典首页


请输入您要查询的字词:

 

字词 拉普拉斯变换
类别 中英文字词句释义及详细解析
释义 拉普拉斯变换

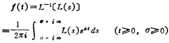
11.1.1 拉普拉斯变换及其反演公式

f(t)的拉普拉斯变换:

拉普拉斯变换的反演公式:

11.1.2 拉普拉斯变换的存在条件

如果f(i)满足下面三个条件,则它的拉普拉斯变换存在。

❶ 实变量的复值函数f(t)和f′(t)在t≥0上除掉有第一类间断点(在任意有限区间上至多有有限多个)外连续;

❷ 当t<0时,f(t)=0;

❸ f(i)是有限阶的,即可以找到常数a≥0和A>0,使得|f(t)|≤Aeat(t≥0)。这里数a称为f(t)的增长指数,f(t)是有界函数时,可取a=0。11.1.3拉普拉斯变换的性质

L〔af〔t)〕=aL〔f(t)〕(a为常数)

L〔af(t)+bg(t)〕=aL〔f(t)〕+bL〔g(t)〕(a、b为常数)

L〔f(t)*g(t)〕=L〔f(t)〕·L〔g(t)〕

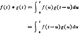
式中

称为函数f(t)和g(i)的卷积(或褶积)。

11.1.4 拉普拉斯变换简表

见表1.1-15。

表1.1-15 拉氏变换简表

随便看

 

离鸟网收录3541549条中英文词条,其功能与新华字典、现代汉语词典、牛津高阶英汉词典等各类中英文词典类似,基本涵盖了全部常用中英文字词句的读音、释义及用法,是语言学习和写作的有利工具。

 

Copyright © 2004-2024 vtrois.com All Rights Reserved
更新时间:2026/4/5 8:30:40