网站首页  词典首页


请输入您要查询的字词:

 

字词 拉普拉斯方法
类别 中英文字词句释义及详细解析
释义 拉普拉斯方法

阶的估计的重要方法。

该方法主要是对形如的积分进行估计,当x→+∞时,无穷大量ex的增长速度是“相当快”的,因此,如果函数h(x)在(a,b)中某一点x0达到最大值,那么,由于h(x0)-h(x)>0,当n→∞时,en(h(x0)-h(x))的增长也是相当快的,也就是说,对于x0的任一邻域外的x值,enh(x)相对于enh(x0)是可以忽略不计的,这就是拉普拉斯方法的基本思想。

拉普拉斯方法有著极其广泛的应用,它的核心就是以下的重要定理。

定理1(拉普拉斯)设φ(x)与h(x)在〔a,b〕上有定义,且满足条件:

(1)对于任意的n≥n0,φ(x)enh(x)在〔a,b〕上可积;

(2)h(x)在〔a,b〕上只有一个最大值点x=ξ,ξ∈(a,b),而且在任何不包含ξ的闭区间(α,β〕内,有supx∈〔α,β〕 h(x)

(3)在ξ的某一邻域内,h”(x)连续,h”(ξ)<0;

(4)φ(ξ)≠0,φ(x)在x=ξ连续,

则当n→∞时,有

显然,当a或b为∞时,只要|φ(x)enh(x)|(n≥n0)在相应的无穷区间上可积,则定理1仍然成立,作为定理1的应用,容易推得重要的斯特林公式:因为,若取,由定理1可得。这就是斯特林公式。

对于在端点达到最大值的情形,类似地可以得到下面的定理。

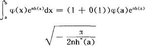
定理2,设φ(x)与h(x)在〔a,b〕上有定义,且满足:

(1)对于任意整数n≥n0,φ(x)enh(x)在〔a,b〕上可积

(2)h(x)在x=a达到最大值且对任何区间〔α,b〕(α>a),都有

(3)存在η>0,使得h”(x)与Φ(x)在〔a,a+η〕内连续;

(4)h’(a)=0,h”(a)<0,φ(a)≠0,

则当n→∞时,有

对于h’(a)≠0或h’(b)≠0的情形,亦有类似的结果。

作为定理2的应用,下面来研究重要的n阶贝塞尔函数当t→∞时的阶,在定理2中,取

φ(θ)=cosnθ,h(θ)=cosθ,a=0,

则立即可得到

随便看

 

离鸟网收录3541549条中英文词条,其功能与新华字典、现代汉语词典、牛津高阶英汉词典等各类中英文词典类似,基本涵盖了全部常用中英文字词句的读音、释义及用法,是语言学习和写作的有利工具。

 

Copyright © 2004-2024 vtrois.com All Rights Reserved
更新时间:2026/4/5 8:30:49