网站首页  词典首页


请输入您要查询的字词:

 

字词 拉普拉斯方程式
类别 中英文字词句释义及详细解析
释义 拉普拉斯方程式

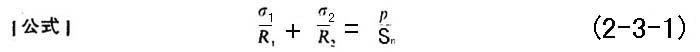
[说明]拉普拉斯方程式适用于制浆造纸厂常用的受内压薄壁容器或壳体的应力及壁厚计算。

式中 σ1——经向应力(N/m2)

σ2——环向应力(或周向应力)(N/m2)

R1——微体经向的曲率半径(m)

R2——微体环向的曲率半径(m)

p——内压力(N/m2)

So——壳体理论壁厚(m)

随便看

 

离鸟网收录3541549条中英文词条,其功能与新华字典、现代汉语词典、牛津高阶英汉词典等各类中英文词典类似,基本涵盖了全部常用中英文字词句的读音、释义及用法,是语言学习和写作的有利工具。

 

Copyright © 2004-2024 vtrois.com All Rights Reserved
更新时间:2026/4/5 8:30:54