拉格朗日插值法
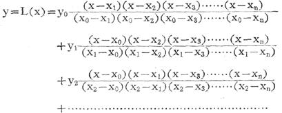
根据法国著名数学家、力学家拉格朗日(J.L.Lagrangei,1736-1813)所提出的插值多项式来进行统计推算的一种方法。 即对某现象,如果已掌握其两位以上实际的对应资料(x0y0、x1y1、x2y2……)时,可运用此式计算对应于x点的未知数y的近似值。其插值多项式为:  如对某种正在试制的化肥进行肥效测验,所得如下资料: 每亩施肥量(市斤)(x) 1 2 5 7 9 某种农作物亩产量(市斤)(y) 200 500 800 1,000 900 试推算施肥量为每亩8市斤时,相应的某种农作物亩产量可达若干斤。据上面资料计算为:  当每亩施肥量为8市斤时,某种农作物的亩产量估计为1,034.4市斤。 |