网站首页  词典首页


请输入您要查询的字词:

 

字词 拉沙洛西
类别 中英文字词句释义及详细解析
释义 拉沙洛西

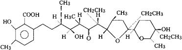
C34H54O8=590.80

CAS-25999-31-9

6-[7(R)-[5(S)-乙基-5-(5R)-乙基四氢-5-氢-6(S)-甲基-2H-吡喃-2(R)-基]四氢-3(S)-甲基-2(S)呋喃基]-4(S)-羟-3(R),5(S)-二甲基-6-氧代壬基]-2-羟-3-甲基-苯甲酸。

Benzoic acid,6-[7(R)-[5(S)-ethyl-5-(5R)-ethyltetrahydro-5-hydro-6(S)-methyl-2H-pyran-2(R)-yl)tetrahydro-3(S)-methyl-2(S)furanyl]-4(S)-hydroxy-3(R),5(S)-dimethyl-6-oxononyl]-2-hydroxy-3-methyl-.

6-[7(R)-[5(S)-乙基-5-(R)-乙基四氢-5-羟基-6(S)-甲基-2H-吡喃-2(R)-基]四氢-3(S)-甲基-2(S)呋喃基]-4(S)-羟-3(R),5(S)-二甲基-6-氧代壬基]-2,3-甲酚酸。

6-[7(R)-[5(S)-Ethyl-5(R)-ethyltetrahydro-5-hydroxy-6(S)-methyl-2H-pyran-2(R)-yl)tetrahydro-3(S)-methyl-2(S)-furyl]-4(S)-hydroxy-3(R),5(S)-dimethyl-6-oxononyl]-2,3-cresotic acid.

抗球虫药。

Lasalocid,Avatec(as Sodium),BOVAtec(as sodium),Ro-2-2985,Antibiotic Ro 2-2985,X537A,Antibiotic X 537A,Lasalocid A.

INN,BAN,USAN.

随便看

 

离鸟网收录3541549条中英文词条,其功能与新华字典、现代汉语词典、牛津高阶英汉词典等各类中英文词典类似,基本涵盖了全部常用中英文字词句的读音、释义及用法,是语言学习和写作的有利工具。

 

Copyright © 2004-2024 vtrois.com All Rights Reserved
更新时间:2026/5/25 21:43:58