网站首页  词典首页


请输入您要查询的字词:

 

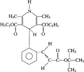
字词 拉西地平
类别 中英文字词句释义及详细解析
释义 拉西地平

C26H33NO6=455.55

CAS-103890-78-4

(E)-4-[2-[3-(1,1-二甲基乙氧)-3-氧代-1-丙烯基]苯基]-1,4-二氢-2,6-二甲基-3,5-吡啶二羧酸二乙酯。

(E)-4-[2-[3-(1,1-Dimethylethoxy)-3-oxo-1-propenyl]phenyl]-1,4-dihydro-2,6-dimethyl-3,5-pyridinedicarboxylic acid,diethyl ester.

4-[邻-[(E)-2-羧乙烯基]苯基]-1,4-二氢-2,6-二甲基-3,5-吡啶二羧酸4-叔-丁基二乙酯。

4-[o-[(E)-2-Carboxyvinyl]phenyl]-1,4-dihydro-2,6-dimethyl-3, 5-pyridinedicarboxylic acid,4-tertbutyl diethyl ester.

血管扩张药,抗高血药。

Lacidipine,GR 43659X.

INN,BAN,USAN.

随便看

 

离鸟网收录3541549条中英文词条,其功能与新华字典、现代汉语词典、牛津高阶英汉词典等各类中英文词典类似,基本涵盖了全部常用中英文字词句的读音、释义及用法,是语言学习和写作的有利工具。

 

Copyright © 2004-2024 vtrois.com All Rights Reserved
更新时间:2026/4/9 14:17:08