网站首页  词典首页


请输入您要查询的字词:

 

字词 拖拉机平均在册台(马力)数
类别 中英文字词句释义及详细解析
释义 拖拉机平均在册台(马力)数

指一定时期内拖拉机的在册总台日数或在册总马力日数除以同时期内的日历日数之商。

反映一定时期拥有拖拉机的水平。计算公式为:

凡经批准封存、报废或调出的拖拉机不应计算在内,而调入和解封的拖拉机可从参加生产活动之日起计算。

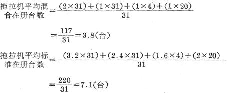
例如,某农业队1983年7月1日拥有拖拉机:24匹马力的丰收牌3台,36匹马力的东方红54-型1台,7月5日经批准报废丰收牌1台。7月12日买进30匹马力的铁牛-55型1台。

该队7月份拖拉机平均在册台数如下:

随便看

 

离鸟网收录3541549条中英文词条,其功能与新华字典、现代汉语词典、牛津高阶英汉词典等各类中英文词典类似,基本涵盖了全部常用中英文字词句的读音、释义及用法,是语言学习和写作的有利工具。

 

Copyright © 2004-2024 vtrois.com All Rights Reserved
更新时间:2026/4/6 21:22:53