网站首页  词典首页


请输入您要查询的字词:

 

字词 拱形顶盖板厚的计算
类别 中英文字词句释义及详细解析
释义 拱形顶盖板厚的计算

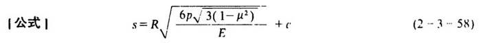
[说明]拱形顶盖一般为无折边球形,由于加工困难,一般很少采用。其计算同样以刚度作为计算基础。

式中 R——拱顶曲率半径(m),一般取R=1.2D1

μ——泊桑系数,取0.3

p——均布载荷,取160Pa

E——弹性模量(Pa)

其它同上

随便看

 

离鸟网收录3541549条中英文词条,其功能与新华字典、现代汉语词典、牛津高阶英汉词典等各类中英文词典类似,基本涵盖了全部常用中英文字词句的读音、释义及用法,是语言学习和写作的有利工具。

 

Copyright © 2004-2024 vtrois.com All Rights Reserved
更新时间:2026/4/6 20:35:16