网站首页  词典首页


请输入您要查询的字词:

 

字词 指数平均预测法
类别 中英文字词句释义及详细解析
释义 指数平均预测法

时间序列预测法的一种。

利用它可以对时间序列资料的不规则性加以修匀,找出事物在主要因素的作用下,时间序列变化的规则成份,预测未来经济的发展。

一次指数平均的计算公式如下:

式中,*为第t期的一次指数平均值;Xt为第t期的实际观察值;α为加权系数。将上式按递归关系展开,得到:

由此可见,St是所有Xt的指数加权平均值。由于1-α<1,所以距离前期t越远,数据被赋予的权数(1-α)k就越小。

一次指数平均一般用于数据整理。二次或三次指数平均是指在一次指数平均值序列的基础上所实施的指数平均,其值分别以表示。

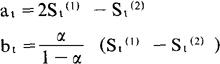
如果时间序列X1,X2,……,Xt具有线性趋势,则应使用二次指数平均,求出平滑系数at、bt,建立以下线性时间序列关系数学模型来进行预测:

Yt+T=at+btT

式中,t为目前周期数。T为由目前周期t到需要预测期的周期数;Yt+T为第t+T周期的预测值;at、bt为平滑系数,其计算公式是:

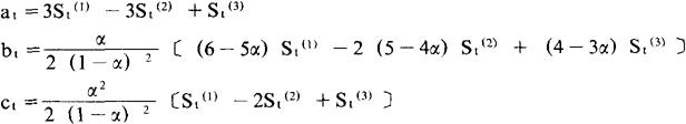
如果时间序列X1,X2,…,Xt具有曲线趋势,则应采取三次指数平均,求出平滑系数at、bt和ct,建立以下抛物线型数学模型来进行预测:

Yt+T=at+btT+ctT2

式中,at、bt和ct的计算公式分别是:

随便看

 

离鸟网收录3541549条中英文词条,其功能与新华字典、现代汉语词典、牛津高阶英汉词典等各类中英文词典类似,基本涵盖了全部常用中英文字词句的读音、释义及用法,是语言学习和写作的有利工具。

 

Copyright © 2004-2024 vtrois.com All Rights Reserved
更新时间:2026/4/9 15:54:07