网站首页  词典首页


请输入您要查询的字词:

 

字词 指数平滑预测法
类别 中英文字词句释义及详细解析
释义 指数平滑预测法

指通过求出平滑平均数,对给定的时间序列进行的一种预测方法。

其步骤为:

(1)求一次指数平滑值,公式为:

式中:表示第t期一次指数平滑值;α表示平滑系数,0<α<1;

Xt表示时间序列第t期数值;表示上期一次指数平滑值。

(2)求二次指数平滑值,公式为:

式中:表示第t期二次指数平滑值。

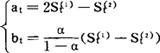
(3)进行时间序列线性趋势预测,其预测模式为:

Yt+T=at+btT

式中:Yt+T表示第t+T期的预测值;T表示第t期至预测期的期数;at、bt表示系数。

at、bt用下式计算:

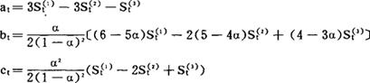
若时间序列数据点的分布出现曲率时,还要计算三次指数平滑值,用三次指数平滑预测模式进行预测,即:

预测模式为:

Yt+T=at++ctT2

式中:

指数平滑预测法是一种简便易行、运用最广的时间序列分析法。

一般地,一次指数平滑只适用无趋势的随机时间序列预测。二次、三次指数平滑值不能直接用来预测。

对于线性趋势时间序列用二次指数平滑值予以修正;非线性趋势时间序列用三次指数平滑值予以修正。

随便看

 

离鸟网收录3541549条中英文词条,其功能与新华字典、现代汉语词典、牛津高阶英汉词典等各类中英文词典类似,基本涵盖了全部常用中英文字词句的读音、释义及用法,是语言学习和写作的有利工具。

 

Copyright © 2004-2024 vtrois.com All Rights Reserved
更新时间:2026/4/9 16:59:05