网站首页  词典首页


请输入您要查询的字词:

 

字词 按强度条件确定管道跨度的计算
类别 中英文字词句释义及详细解析
释义 按强度条件确定管道跨度的计算

[说明]管道断面上的最大应力不得超过管材的许用应力,以保证管道的强度安全。根据这一原则所确定的管道允许跨度为按强度条件确定管道的跨度。参考图2-5-36。

a-连续敷设的直管 b-端头管道 c-水平弯管

1.对连续敷设的直管跨度计算(图2-5-36a)

[σ]——管子材料的许用应力(Pa),见表2-5-25及表2-5-26

表2-5-25 常用钢管的许用应力[σ](kg/mm2)

注:
❶ 表内带括号的数值供参考;
❷ 抗拉强度、屈服极限的单位为kg/mm2
❸ 1kg/mm2=9.8×106Pa

表2-5-26 铜、铝、铅管及塑料管材的许用应力[σ](kg/mm2)

注:1kg/mm↗↗2↖↖=9.8×10↗↗6↖↖Pa

W——管子抗弯截面系数(m3)

φ——管道横向焊缝系数

q——管道单位长度计算重力(N/m)

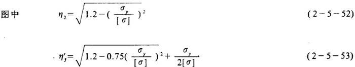
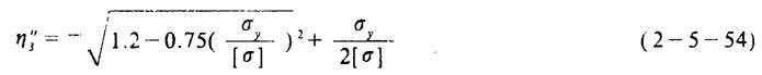
式中 η3′——用于许用拉应力

η3″——用于许用压应力

σc——由内压力引起的管壁折算应力(Pa)

P0——管内介质操作压力(Pa)

D——管道外径(m)

S——管壁厚度(m)

[σ]——管子材料许用应力(Pa),见表2-5-25和表2-5-26

2.对端头弯管(图2-5-36b)

式中符号含义及单位同上式2-5-51

3.对水平弯管(图2-5-36c)

式中符号含义及单位同上2-5-51

4.对于管径大于Φ600mm的管道还要考虑风载荷所引起的应力

式中 H——风速度头(Pa)

K——空气动力系数,一般取0.7

DH——管道保温后的外直径(m)

其它同上

5.简化计算方法

[说明]对于计算要求不十分严格,管壁温度在200℃以内的中、低压管道,对A3、16Mn、10号、20号等一般管材,将上述式中的一些值取常用值,可进行简化计算。

式中 W——管子抗弯截面模数(m3)

DW、DN——管子的外径和内径(m3)

q——管道单位长度计算重力(N/m)

随便看

 

离鸟网收录3541549条中英文词条,其功能与新华字典、现代汉语词典、牛津高阶英汉词典等各类中英文词典类似,基本涵盖了全部常用中英文字词句的读音、释义及用法,是语言学习和写作的有利工具。

 

Copyright © 2004-2024 vtrois.com All Rights Reserved
更新时间:2026/4/7 7:28:14