网站首页  词典首页


请输入您要查询的字词:

 

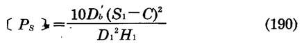
字词 按缸筒凸缘厚度验算烘缸的许用工作气压[Ps]
类别 中英文字词句释义及详细解析
释义 按缸筒凸缘厚度验算烘缸的许用工作气压[Ps]

式中 S1——缸筒凸缘厚度,cm(图11-9-24)

D1——缸筒凸缘螺栓孔中心圆直径,cm——缸筒凸缘内壁根部直径,cm,当根部为圆角R时,

H1——缸筒凸缘螺栓孔中心到凸缘计算断面A-B的距离,cIn

当凸缘与缸筒内壁用圆角或斜角过渡时,;若成直角相交(此种情况极少)时,。式(189)、式(190)中的C值选用与式(181)相同。推导式(190)时采取铸铁的〔σw〕=15MPa。

随便看

 

离鸟网收录3541549条中英文词条,其功能与新华字典、现代汉语词典、牛津高阶英汉词典等各类中英文词典类似,基本涵盖了全部常用中英文字词句的读音、释义及用法,是语言学习和写作的有利工具。

 

Copyright © 2004-2024 vtrois.com All Rights Reserved
更新时间:2026/4/8 6:16:11