挤出机——单螺杆
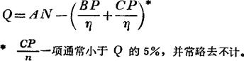
单螺杆挤出机螺杆计量段的挤出量可由下式计算:  Q=净出料体积速度(厘米3/秒或时3/秒) AN=熔融料的自由挤出体积速度(曳流)(厘米3/秒或时3/秒) BP=熔融料的反流体积速度(厘米3/秒或吋3/秒) CP=从螺纹顶部反回的体积漏流(厘米3/秒或时3/秒) N=螺杆速度(转/秒) P=挤出机头处的压力(公斤力/厘米2或磅力/吋2)  D=螺杆直径(厘米或时) h=计量螺槽的深度(厘米或时);S=平行于螺杆轴的螺槽宽度 Φ=螺旋角(°)(通常为15~20°,一般为17.7°)  L=计量段长度(厘米或吋)   e=平行于轴线的螺纹宽度(厘米或时) δ=径向螺杆间隙(厘米或时) η=计量段中物料在一般剪切速度下的表观粘度(公斤力/厘米2秒-1或磅力/吋2秒-1) 另外,若Q以磅/小时表示,其它因数以时为单位,并采用一般螺旋角17.7°,则 AM项=2.3D2hpN(磅/小时)  式中:p=物料在80℉(27℃)下的相对密度。 |