网站首页  词典首页


请输入您要查询的字词:

 

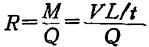
字词 挤出机内的停留时间
类别 中英文字词句释义及详细解析
释义 挤出机内的停留时间

式中:R=平均停留时间(秒)

M=螺杆的总容积(厘米3或时3)

V=每螺槽的容积(厘米3或时3)

随便看

 

离鸟网收录3541549条中英文词条,其功能与新华字典、现代汉语词典、牛津高阶英汉词典等各类中英文词典类似,基本涵盖了全部常用中英文字词句的读音、释义及用法,是语言学习和写作的有利工具。

 

Copyright © 2004-2024 vtrois.com All Rights Reserved
更新时间:2026/5/25 20:00:57