振动输送机
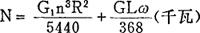
振动输送机(又称簸送机,见图6-32)的主体。 A=3600·B·H·v·γ·K(吨/小时) 式中 B——振槽宽度(米) H——糖层高度(米) v——糖层前进速度(米/秒) γ——砂糖重度(吨/米3) K——不均衡系数 糖层前进速度计算 v=0.21·R·n·f·tgα(米/秒) 式中 R——曲柄半径(米) n——曲柄转数(转/分) f——摩擦系数,砂糖为0.3 α——摇臂对垂直线的角度 振动输送机 振动输送机(又称簸送机,见图6-32)的主体为一宽的平槽,由弹性支腿(摇臂)支撑;支腿与水平向约成70°角。它的最大优点为对糖的磨损较少,适宜用于砂糖输送。 1.生产能力计算 G=3600BHvγ 式中 G——输送砂糖量(吨/时) B——槽宽(米) H——槽中糖层厚度,一般为0.05(米) γ——砂糖容重,为0.8(吨/米) v——砂糖沿槽平面移动速度(米/秒)一般取为0.15~0.21米/秒,或按下式算出 v=0.21nRftgα(米/秒) 式中 n——传动曲柄转速,一般为250~500转/分 R——曲柄半径,通常为0.01~0.025米 f——糖对槽的摩擦系数,取0.3 α——静止时弹性支腿对垂线的倾斜角,通常为16~20° 2.功率消耗  式中 G1——振动部分重量,可取为0.12~0.15(吨/米) n——曲柄转速,250~500(转/分) R——曲柄半径,0.010~0.025(米) G——输送的砂糖量(吨/时) L——输送机长度(米) ω——系数,当α为16~20°时,ω为0.67~0.53 3.曲柄半径与转速间的关系(见表6-66) 表6-66 曲柄半径与转速关系  4.振动输送机的规格 制糖设备系列化后,振动输送机规格(以槽宽计,毫米)定为三种:800,1000,1200。 表6-67为正常情况下三种振动输送机的性能。 表6-67 三种振动输送机不同长度下的输送量、自重及耗用功率  注:W=设备自重(吨),N=设备耗用功率(千瓦) |