网站首页  词典首页


请输入您要查询的字词:

 

字词 损益平衡定价法
类别 中英文字词句释义及详细解析
释义 损益平衡定价法

又称盈亏分界点定价法、收支平衡定价法。

是以盈亏分界点的总成本为依据来确定产品价格的一种方法。

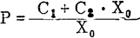
盈亏分界点是指企业在收支平衡、利润为零时的销售水平,其计算公式是:

C1-固定成本

P-销售价格

C2-单位变动成本

X0-盈亏平衡时的销售量

由此推出一定销售量的产品,其保本价格应定为:

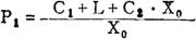
但企业经营的目的是为了取得利润,因此这一价格公式必须经过修正,如引入预期利润L于是有公式:

价格P可使企业了解,价格至少应定在什么水平上,才能保证保本而不亏本,价格P1则可使企业了解,在某一既定的利润目标下,价格应在什么水平上。

损益平衡法与完全成本定价法,加工成本定价法相比,更为重视总成本的必要补偿和盈利。损益平衡法定价,是从保本入手,通过盈亏平衡点的确定,制定企业最佳的产品结构和产量——价格组合。

随便看

 

离鸟网收录3541549条中英文词条,其功能与新华字典、现代汉语词典、牛津高阶英汉词典等各类中英文词典类似,基本涵盖了全部常用中英文字词句的读音、释义及用法,是语言学习和写作的有利工具。

 

Copyright © 2004-2024 vtrois.com All Rights Reserved
更新时间:2026/4/6 16:37:15