网站首页  词典首页


请输入您要查询的字词:

 

字词 换元法
类别 中英文字词句释义及详细解析
释义 换元法

例 求一个实系数的一次函数f(x),使得f{f[f(x)]}=8x+7.

分析 设出所求的一次函数,理解函数符号的意义.

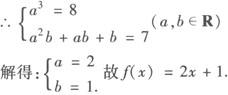
解 设f(x)=ax+b,(a,b∈R),

则f{f[f(x)]}=a[a(ax+b)+b]+b

=a3x+a2b+ab+b=8x+7.

随便看

 

离鸟网收录3541549条中英文词条,其功能与新华字典、现代汉语词典、牛津高阶英汉词典等各类中英文词典类似,基本涵盖了全部常用中英文字词句的读音、释义及用法,是语言学习和写作的有利工具。

 

Copyright © 2004-2024 vtrois.com All Rights Reserved
更新时间:2026/4/7 18:28:59