网站首页  词典首页


请输入您要查询的字词:

 

字词 掌叶半夏
类别 中英文字词句释义及详细解析
释义 掌叶半夏

【概况】:

异名 独角莲、独脚莲(《南京民间药草》)。

基源 为天南星科半夏属植物虎掌的块茎。

原植物 虎掌Pinellia pedatisecta Schott

形态 块茎根密集,肉质;块茎四旁常生有若干小球茎。

叶1~3或更多;叶片鸟足状分裂,裂片6~11。

花序柄长20~50cm,直立。佛焰苞管部长圆形;檐部长披针形。肉穗花序:雌花序长1.5~3cm;雄花序长5~7mm;附属器细线形,长10cm,直立或略呈“S”形弯曲。浆果卵圆形,藏于宿存的佛焰苞管部内。花期6~7月,果9~11月成熟。(图见《中国植物志》.第13卷.第2分册.205页.图41)

生境与分布 生于海拔1000m以下的林下、山谷或河谷阴湿处。分布于中国华北、华中、华东、华南及西南地区。

。【生药】:

采集 6~7月挖取块茎,洗净,放入筐内,浸于水中,搅拌搓去外皮,晒干或烘干,干后再用硫黄熏之,使颜色变白。

药材产于江苏、河北、河南、山西、作半夏使用。

鉴别

性状 块茎近球形,直径3~4cm,外皮粗糙,褐色,有时尚留有已枯叶柄的基部。

剥去外皮为类白色而呈粉状,上面散有细凹点,与半夏在外形上很难区别,但一般形体比较大。

显微 粉末类白色。淀粉粒类球形、椭圆形或圆多角形,直径3~20μm;复粒多,由2~10分粒组成。草酸钙针晶长13~96μm。

螺纹导管直径约至48μm。

贮藏置通风干燥处,防蛀。

。【化学】:

含3-异丙基-吡咯并[1,2a]-2,5-二酮哌嗪(3-Isopropyl-pyrrolopiperazine-2,5-dione)、3,6-二异丙基-2,5-二酮哌嗪(3,6-Diisopropyl-2,5-piperazinedione)、3-异丙基-6-特丁基-2,5-二酮哌嗪(3-Isopropyl-6-terbutyl-2,5-piperazinedione)、3-异丙基-6-甲基-2,5-二酮哌嗪(3-Isopropyl-6-methyl-2,5-piperazinedione)、β-卡啉(β-Carboline)、1-乙酰基-β-咔啉(1-Acetyl-β-carboline)、脲嘧啶(Uracil)、5-甲基脲嘧啶、2-甲基-3-羟基吡啶(2-Methyl-3-hydroxypyridine)、烟酰胺(Nicotinamide)、掌叶半夏碱甲和乙(Pedatisectine A,B)、以及β-谷甾醇、棕榈酸等[1]

另外还有掌叶半夏碱丙(Pedatisectine C)、β-谷甾醇-3-β-D-葡萄糖甙(β-Sitosterol-3-β-D-glucopyranoside)[2]

从块茎中得环二肽:二吡咯并[1,2-a][1′,2′-d]六氢吡嗪-2,5-二酮(即L-脯氨酸-L-脯氨酸酐)、3-异丙基-6-异丁基-2,5-二酮哌嗪(即L-缬氨酰-L-亮氨酸酐)、3-苄基-6-甲基-2,5-二酮吡嗪(即L-苯丙氨酰-L-丙氨酸酐)、吡咯并[1,2-a]-1,4-二酮六氢吡嗪(即L-甘氨酰-L-脯氨酸酐)、L-cis-3-对羟苄基-6-异丁基-2,5-二酮哌嗪(即L-酪氨酰-L-亮氨酸酐)、Lcis-3-对羟苄基-6-异丙基-2,5-二酮哌嗪(即L-酪氨酰-L-缬氨酸酐)、3-甲基-6-异丁基-2,5-二酮哌嗪(即L-丙氨酰-L-亮氨酸酐)、3-甲基-6-仲丁基-2,5-二酮哌嗪(即L-丙氨酰-L-异亮氨酸酐)[3]。块茎含39种氨基酸,主要者有精氨酸,天门冬酰胺,胍氨酸,γ-氨基丁酸,色氨酸等[4]

从块茎所得的总蛋白质有抗癌活性[5]

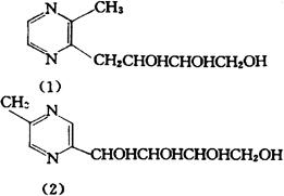
从块茎还分得两个新生物碱:掌叶半夏碱丁(Pedatisectine D)(1)和掌叶半夏碱戊(Pedatisectine E)(2),后者有抑制血小板聚集作用。以及L-脯氨酰-L-丙氨酸酐(L-Prolyl-alanine anhycdride),3-乙酰胺基-2-哌啶酮(3-Acetamino-2-piperidone),L-苯丙氨酰-L-丝氨酸酐(L-Phenylalanyl-Lseryl anhydride),L-酪氨酰-L-丙氨酸酐(L-TyrosylL-alanine anhydride)和腺苷[6]

参考文献 [1] 江苏省植物研究所等.新华本草纲要.第3册.上海科学技术出版社,1988∶547 [2] CA 1986;105∶94501a [3] 中草药1984;15(11)∶490 [4] 上海医科大学学报1989;16(3)∶203 [5] 上海医科大学学报1992;19(1)∶17 [6] 中草药1995;26(1)∶3

。【药理】:

掌叶半夏中生物碱的氯仿提取物,称之为“宁心碱”,67mg/L体外试验,可使猪心室肌细胞APD、ERP延长,使APA及零相最大去极化速率显著降低,表明宁心碱有奎尼丁样作用[1]。常叶半夏浸剂10g/kg ig,无论生品、制品,均能抑制小鼠自发活动,协同戊巴比妥钠的催眠作用及抗戊四唑的惊厥作用[2]

参考文献 [1] 中草药 1983;14(3)∶21 [2] 中国中药杂志 1994;19(4)∶218

【药性】:

性味 《广西中药志》:“味辛,性平。有毒。”

主治 ❶ 《南京民间药草》:“治肿毒。”
❷ 《广西中药志》:“治毒蛇咬伤及无名肿毒。”

用法用量 外用:捣敷或研末调敷。

。【临床应用】:

单方应用 ❶ 《湖南药物志》:“治疮疖肿毒,癣痒:虎掌块茎,醋磨汁涂。”
❷ 《湖南药物志》:“治化脓性中耳炎:掌叶半夏块茎研粉加适量酒,浸2日,滴耳内,每日数次。”
❸ 《湖南药物志》:“治外伤出血:掌叶半夏块茎研粉撒布。”

随便看

 

离鸟网收录3541549条中英文词条,其功能与新华字典、现代汉语词典、牛津高阶英汉词典等各类中英文词典类似,基本涵盖了全部常用中英文字词句的读音、释义及用法,是语言学习和写作的有利工具。

 

Copyright © 2004-2024 vtrois.com All Rights Reserved
更新时间:2026/5/27 14:51:02