网站首页  词典首页


请输入您要查询的字词:

 

字词 排气面积计算
类别 中英文字词句释义及详细解析
释义 排气面积计算

根据头冲进灶鲜茧500kg,烘3h,出灶半干茧320kg,二冲进灶半干茧320kg,烘3h,出灶干茧200kg的蒸发水量、排气去湿能力、排气量、排气速度的排气面积计算。

其基本式:

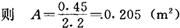
式中

A——排气面积(m2);

Q——排气量(m3/s);

V——排气速度(m/s)。

例 (头冲)Q=0.45V=2.20

例 (二冲)Q=0.3

V=2.2

自然换气的干燥器,其吸气口面积,最大不能超过排气筒面积的80%。

随便看

 

离鸟网收录3541549条中英文词条,其功能与新华字典、现代汉语词典、牛津高阶英汉词典等各类中英文词典类似,基本涵盖了全部常用中英文字词句的读音、释义及用法,是语言学习和写作的有利工具。

 

Copyright © 2004-2024 vtrois.com All Rights Reserved
更新时间:2026/5/26 3:26:54