网站首页  词典首页


请输入您要查询的字词:

 

字词 排渣率的计算
类别 中英文字词句释义及详细解析
释义 排渣率的计算

【说明】 尾渣率是衡量筛选设备纤维流失的一个指标。

【公式】

式中 Q1——尾浆量(m3/h)

Q——进浆量(m3/h)

K——尾浆率(%)

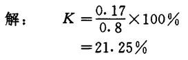
【例】 某厂筛浆机每小时处理浆料0.8t(绝干),被筛出粗渣量0.17t(绝干),求排渣率。

随便看

 

离鸟网收录3541549条中英文词条,其功能与新华字典、现代汉语词典、牛津高阶英汉词典等各类中英文词典类似,基本涵盖了全部常用中英文字词句的读音、释义及用法,是语言学习和写作的有利工具。

 

Copyright © 2004-2024 vtrois.com All Rights Reserved
更新时间:2026/4/7 4:39:05