排队系统的费用模型
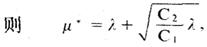
在排队系统中,为了减少顾客的等待时间,以减少等待费用,需要提高服务水平,但这却增加了服务机构的成本,二者之间互相矛盾。 为此,建立一个与服务水平有关的费用函数,在服务费用和顾客的等待费用之和为最小的原则下,确定最优服务水平。以M/M/1排队模型为例,设C1为单位时间内服务水平μ提高一个单位的费用;C2为顾客等待单位时间的费用;λ为顾客到达率。则单位时间内系统的期望总费用C(μ)及其最优解为: C(μ)=C1μ+C2Ll,   可见,最优解μ*依赖于 。 一个排队系统的总费用示意图如下页图: 
|