网站首页  词典首页


请输入您要查询的字词:

 

字词 推广
类别 中英文字词句释义及详细解析
释义 推广

如果a1,a2,…,an∈R+,且n>1,则((当且仅当a1=a2=…=an时取“=”号).

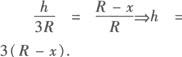
例1 已知圆锥的底面半径为R,高为3R,在它的所有内接圆柱中,全面积的最大值是( ).

分析 本题考查了圆锥与圆柱的基本计算,同时考查了利用均值不等式求最值.

解 如图作圆锥的轴截面图,设内接圆柱的底面半径为x,高为h,则由三角形相似可得:

∴圆柱的全面积为:

S=2πxh+2πx2

=2πx·3(R—x)+2πx2

=2πx(3R—2x)

=π·2x(3R—2x)

当且仅当2x=3R—2x即x=3/4R时取“=”号,故选B.

评析 本题也可用二次函数求最值

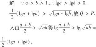
例2 a>b>1,,Q=1/2(1ga+lgb),,则( ).

A.R

C.Q

分析 本题考查了对数的基本性质及均值不等式的应用.

故R>Q,从而选B.

评析 本题也可用特殊值法来判定,如果a=100,b=10,很容易选B,解这类题要善于利用特例法求解,利用均值不等式和函数单调性比较大小是常用的方法.

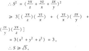
例3 设x、y、z为正数,x2+y2+z2=1,试求的最小值.

解 若a、b、c∈R+,则由平均值不等式可知:a2+b2+c2≥ab+bc+ca∴(a+b+c)2≥3(ab+bc+ca),

当且仅当x=y=z时取得最小值

随便看

 

离鸟网收录3541549条中英文词条,其功能与新华字典、现代汉语词典、牛津高阶英汉词典等各类中英文词典类似,基本涵盖了全部常用中英文字词句的读音、释义及用法,是语言学习和写作的有利工具。

 

Copyright © 2004-2024 vtrois.com All Rights Reserved
更新时间:2026/4/5 18:35:00