网站首页  词典首页


请输入您要查询的字词:

 

字词 摆动条件下轴承的计算
类别 中英文字词句释义及详细解析
释义 摆动条件下轴承的计算

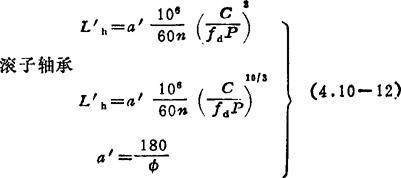
相对作摆动的轴承,其额定寿命L′的计算公式为〔34〕

球轴承

式中 a′为摆动修正系数;Φ为一套圈相对另一套圈摆动的角度(当Φ角小于摩擦角时,有必要同时考虑滚动疲劳和磨损。采用脂润滑时的摩擦角约为25°);n为每分钟的摆动次数。当摆幅很小时,不计算额定寿命。

随便看

 

离鸟网收录3541549条中英文词条,其功能与新华字典、现代汉语词典、牛津高阶英汉词典等各类中英文词典类似,基本涵盖了全部常用中英文字词句的读音、释义及用法,是语言学习和写作的有利工具。

 

Copyright © 2004-2024 vtrois.com All Rights Reserved
更新时间:2026/4/7 1:28:35