摩尔吸收系数
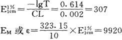
摩尔吸收系数(Molar absorptivity)是紫外分光光度法中吸收系数的一种表示方式。 其意义是1摩尔浓度的溶液,厚度1cm时的吸收度。用ε或EM表示。 摩尔吸收系数多用于研究分子结构。摩尔吸收系数一般不超过105数量级。通常将ε值104的划为强吸收,小于102的为弱吸收,介于两者之间的称为中强吸收。吸收系数ε不能直接测得,需和已知准确浓度的稀溶液测得吸收度换算而得到。 例如,氯霉素(M=323.15)的水溶液在278nm有吸收峰。设用纯品配制100ml(含2.00mg)的溶液,以1.00cm厚的吸收池在278nm处测得透光率为24.3%,则  |