操作手的逆运动学问题
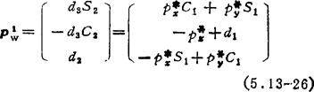
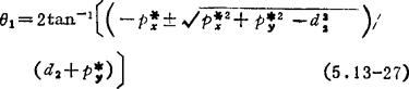
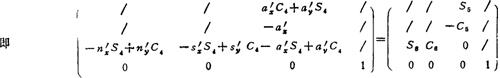
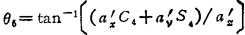
这里以Stanford机器人为例,说明逆运动学问题的解法。 Stanford机器人的D-H变换矩阵为(参见图5.13-33): 求逆运动学问题时臂矩阵T的各元素是已知的。由 的第四列得W点在定系中的坐标为  再从(5.13-23)式右边合成矩阵和 的第四列得W点在第一杆系中的坐标为  由第三式得 。 设 ,于是 , 解得t,并求出  由第一、二式得 / (5.13-28) 由第一、二式的平方和得  θ1有双解,θ2因θ1有双解而有双解,d3总大于零,因此负号无意义。下一步求θ4、θ5和θ5。设:  由于θ1、θ2和θ3已知,由此计算出T1,再由(5.136)式计算 。T是给定的,故由(5.13-30)式可计算出T2的诸元素的数值。由于r2=3A44A55A6,左乘: ,得 (5.13-31)  从(3,3)元素相等,得  由(1,3)和(2,3)元素相等,得  由(3,1)和(3,2)元素相等,得  如果θ4、θ5和θ6都能旋转360°,则θ4、θ5和θ6有双解,其间的关系为  |