收入价格
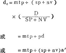
南斯拉夫经济学家于60年代初提出的一种按平均收入率计算的价格。 50年代末,南斯拉夫逐步实行收入制度后,他们认为从自治社会主义的经济条件出发,作为商品生产者的劳动,集体经营的基本动机是取得最大限度的收入,由于不同部门生产要素的有机构成和周转速度不同,部门收入率也不同,在竞争和生产因素自由转移的条件下,劳动者要求越来越好的生活愿望,促使商品生产者从收入率低的部门转移到收入率高的部门,这种转移过程必然形成社会的平均收入率,从而使商品价值转化为收入价格。所以,收入价格是价值规律适应于自治社会主义的历史形态,是商品价值的转化形式,是市场价格波动的中心。它是把收入合理地分成积累和消费两部分,保证一切生产部门相同的发展可能性的工具,同时,收入价格又使新创造的价值更多地转移到有机构成高的部门,成为促进技术进步的强大工具。平均收入率的计算公式是:  式中a′表示平均收入率;D表示国民收入总额;SP表示社会生产资金总额;NV表示社会新创造价值总额。 收入价格的计算公式是:  式中dc表示收入价格;mtp表示生产的物质耗费;sp表示所研究部门的生产资金;nv表示所研究部门新创造的价值;pd表示平均收入。 |