网站首页  词典首页


请输入您要查询的字词:

 

字词 收入分配差异统计
类别 中英文字词句释义及详细解析
释义 收入分配差异统计

国际组织和发达国家的收入分配差异统计主要包括以下两个方面内容。

1.贫困人口和家庭数。统计贫困人口和家庭数,首先要确定一条贫困线。

所谓“贫困线”,是指各国根据本国居民的生活水平、消费习惯以及物价变动而规定的一个最低生活费用标准。以家庭货币收入低于官方所规定的贫困线为标准,便可统计贫困人口和家庭数。

涉及对贫困定义的不同理解,目前,国际上确定贫困线的方法大体可以分为两类:(1)相对方法。它是依据贫困的相对概念,在确定贫困线时运用相对的标准。例如:把收入在中位数以下、相对中位数一定比例的数值定为贫困线;或把收入分布的最低部分划为贫困线等。(2)绝对方法。

它是依据贫困的绝对概念,即根据居民消费生活必需品的绝对水平来确定贫困线。

其常用方法有:一是西方常用的经典公式。贫困线=适量的饮食价值×(较低收入层次全部支出÷饮食支出)。二是按照本国居民一般的生活消费习惯和维持一定生活水平应有的商品和劳务的种类,拟定各类家庭最低限度的商品和服务数量表,以各种商品和服务的现行价格去乘相应的商品和服务数量,然后加总得出各类家庭最低生活水准即贫困线。

随著商品和服务的价格上涨,贫困线一般都定期或不定期地进行调整。

近年来,在各国际组织尤其是世界银行的倡导下,贫困线的确定转向以绝对贫困为主的研究与制定,并将其纳入测定评价社会发展的指标体系中。

这是因为,根据相对贫困定义,无论尽多大努力增加本国居民的收入,总有一定比例的人口和家庭处于贫困状况,而且有的贫困国家的高收入水平甚至还比不上发达国家的低收入水平。比较而言,绝对贫困的测定更能揭示问题的实质,并可进行国际比较。

2.洛伦茨曲线及基尼系数。所谓洛伦茨曲线,是一种反映收入分配平均程度的曲线。

洛伦茨曲线图示如图4-10-1。

图4-10-1中:OI表示累计收入百分比;OP表示累计人口数或家庭数百分比;OC为绝对平均曲线,线上任何一点到纵轴OI和横轴OP的距离都是相等的;OPC为绝对不平均曲线,表示只有一人或一个家庭得到收入的全部,而其余的人或家庭的收入都是零。OLC线则为洛伦茨曲线,又称实际收入分配曲线,它介于绝对平均线与绝对不平均曲线之内。当实际收入分配曲线与绝对平均线越靠近,表明社会收入分配差异小,接近绝对平均;反之,则表明社会收入分配差异大,不平均程度高。

所谓基尼系数,是根据洛伦茨曲线图计算测定收入分配差异程度的指标。根据洛伦茨曲线图,基尼系数定义为:

式中:A表示实际收入分配曲线OLC与绝对平均线OC之间的面积;B表示实际收入分配曲线OLC与绝对不平均曲线OPC之间的面积。

如果A=0,则G=0,表明收入分配绝对平均;如果B=0,则G=1,表明收入分配绝对不平均。因而,基尼系数在0与1之间变动,G值靠近0,表明收入分配越趋于平均;G值靠近1,表明收入分配越趋于不平均。

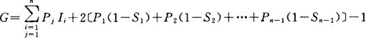
在实际应用中,基尼系数是根据各组的人口(或家庭)的百分比和各组的收入百分比计算的。其具体计算公式为:

式中:Ij(i=1、2、…、n)为某一收入水平组的收入百分比;

Pj(i=1、2、…、n)为某一收入水平组的人口数(或家庭数)百分比;

Si为第i组的累计收入百分比。

由于基尼系数可以具体计算,且在相同的分组条件下计算而得的各个基尼系数具有可比性,因而,基尼系数成为国际组织用来评价各国社会发展的指标之一。

随便看

 

离鸟网收录3541549条中英文词条,其功能与新华字典、现代汉语词典、牛津高阶英汉词典等各类中英文词典类似,基本涵盖了全部常用中英文字词句的读音、释义及用法,是语言学习和写作的有利工具。

 

Copyright © 2004-2024 vtrois.com All Rights Reserved
更新时间:2026/5/25 11:35:39