网站首页  词典首页


请输入您要查询的字词:

 

字词 收入对数正态分布曲线
类别 中英文字词句释义及详细解析
释义 收入对数正态分布曲线

用于研究收入分布的一种向右倾斜的曲线。

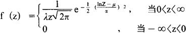
其概率密度函数为:

若令x=1ng,就可以得到正态分布曲线。其中π是圆周率,e=2.71828,λ是x的标准差,μ是变量x的均值。z的期望值是,z的方差为。很多国家的收入都具有对数正态分布的特点。

随便看

 

离鸟网收录3541549条中英文词条,其功能与新华字典、现代汉语词典、牛津高阶英汉词典等各类中英文词典类似,基本涵盖了全部常用中英文字词句的读音、释义及用法,是语言学习和写作的有利工具。

 

Copyright © 2004-2024 vtrois.com All Rights Reserved
更新时间:2026/5/28 20:59:03