改变叶轮直径进行节电的计算
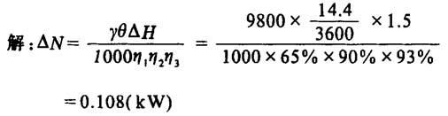
[说明]同一台泵在转速不变的情况下,改变叶轮直径是节电的有效措施,但要注意以下几点: ❶ 改变叶轮直径一般在10~15%之内,否则泵的效率会明显下降; ❷ 要保持适当的压头余量,一般在3~5%以内; ❸ 在切削叶轮时,对比转数高的水泵,叶轮的前后盘可以切削成不同直径,以防止二次回流(见图2-5-50),而对于比转数高于350的泵,则不宜采取切削叶轮的办法。离心泵允许的切削量见表2-5-42。 表2-5-42 离心泵叶轮允许的切削量   式中 △N-节约的电力(kW) Q-泵的流量(m3/s) △H-节流阀门减少的压头(m) γ-流体的重度(N/m3) η1、η2、η3-分别为泵、电机和传动装置的效率(%) [例]某厂对一比转数为120的水泵进行叶轮切削,经计算切削后节流阀门的扬程减少1.5m,该泵的流量为14.4m3/h,水的重度为9800N/m3,泵的效率为65%,电动机的效率为90%,皮带传动的效率为93%,求节约的电力。  |