网站首页  词典首页


请输入您要查询的字词:

 

字词 放锅热回收计算
类别 中英文字词句释义及详细解析
释义 放锅热回收计算

【例】已知条件(按蒸煮物料衡算条件):

每锅风干浆产量G1:10.88t/锅

放锅时放出的蒸汽量D1:770Kg/t风干浆

放锅时间T1:20min

蒸煮周期T2:5h

蒸煮锅台数n:4

蒸煮锅锅容V1:125m3

热冷凝液温度t2:90℃

循环冷却水温度t1:40℃

冷凝器内蒸汽压力P1:19.6kPa

污热水换热器的清水温度:入口t3:10C

出口t4:70℃

1.喷射冷凝器需要的冷却水量D

【说明】单位时间内应被冷凝的蒸汽量为放锅时放出的蒸汽量加上吹放锅管路所用的蒸汽量,取其值为放锅蒸汽的10%(A)。

❶ 应冷凝的平均蒸汽量D2

❷ 最大蒸汽量D最大

【说明】取最大蒸汽量为平均量的1.4倍。

【公式及计算】

❸ 冷却水需要量D

【说明】查饱和蒸汽表得,压力P1为19.6kPa的蒸汽温度为104.2℃,热焓r1为2684.2kJ/kg。

【公式及计算】

2.污热水槽的容积V及贮备时间T3

❶ 四个锅平均每小时的放锅蒸汽量D3

❸ 污热水量D5

D5=D3+D4=7370+81227=88597(kg/h)

❹ 污热水槽的有效容积V

【说明】取污热水槽的容量Vp为2m3/m3锅容。

【公式及计算】

V=VpV1 (1-2-50)

=2×125=250(m3)

❺ 贮备时间T3

【公式及计算】

3.污热水换热器所需面积F

❶ 在换热器内,污热水传给清水的热量Q1

【公式及计算】

Q1=D4C(t2-t1)=81227×4.1868(90-40)

=17004060(kJ/h)

❷ 当换热器为逆流时,温度平均差Δt

【公式及计算】

❸ 换热器所需面积F

【说明】对换热器的传热系数K〔kJ/(m2.h.℃)〕板式可取8373.6;螺旋式可取6280~8164;管式取4186.8~5652。在此取6280。

【公式及计算】

❹ 每日每吨风干浆传热面积F1

每日产浆量G2

每日每吨风干浆传热面积F1

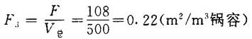
❺ 每米3锅容传热面积F2

4台蒸煮锅的总容积V=4×125=500(m3)

每米3锅容传热面积F3

4.放锅热回收可得到的清洁热水量W

❶ 每小时可得清洁热水量W1

【公式及计算】

❷ 每吨浆所得清洁热水量W2

【公式及计算】

随便看

 

离鸟网收录3541549条中英文词条,其功能与新华字典、现代汉语词典、牛津高阶英汉词典等各类中英文词典类似,基本涵盖了全部常用中英文字词句的读音、释义及用法,是语言学习和写作的有利工具。

 

Copyright © 2004-2024 vtrois.com All Rights Reserved
更新时间:2026/4/7 20:34:45