网站首页  词典首页


请输入您要查询的字词:

 

字词 政府增长的极限
类别 中英文字词句释义及详细解析
释义 政府增长的极限

【内容介绍】:

1.引言

20世纪80年代以前,经济学文献对政府规模的研究主要集中于以下三个问题,即公共部门的界定、公共支出支出增长趋势的高质量数据的获得以及政府支出增长的原因及其检验。

80年代中期以来,经济学界开始讨论政府规模是否存在著极限及其控制问题:政府考虑到其自身的目标等限制条件,是否有必要采取积极的行动限制对政府增长的需求,实施适当的控制财政支出增长的政策。本文简要介绍政府增长极限的研究状况。

一些经济学家把政府规模的极限划分为两类(Frey,1985,p.101-118;Schmidt,1985,p.119-131),一是自然极限(natural limits),二是制度极限(constitutional limits)。自然极限是在社会的制度结构特别是经济制度既定的情况下内生出现的,制度极限是在不确定性的掩盖下人们的意见达成一致所外生强加的(Buchanan and Tullock,1962; Buchanan,1977;Frey,1983)。同时,把政府的活动区分为三种形式,即税收、公共支出和管制。表1把这三种活动与两种极限组合在一起,列示出我们目前对政府极限的研究状况。

表1 对政府活动极限的了解状况

假定政府的目标是使税收收入最大化,均衡(稳定)税率(τ**)存在于短期拉弗曲线的最大点与长期拉弗曲线相交之处。

在图1中,这条短期拉弗曲线就是SRLC2。这时,政府不会改变税率,因为在这种均衡税率之下,人们已完成他们的各种调整(他们处于长期拉弗曲线上),政府的税收收入最大。

低于或高于该均衡税率(τ**)的任何税率在相关政治期界内都会减少税收收入,如短期拉弗曲线SRLC2所示。从图1看出,这种均衡税率τ**是有限的,但它高于在长期内使税收收入最大化的税率τ*

因此,拉弗曲线的政治经济分析表明,税收存在著内生(自然)极限。

税收的制度极限 关于税收的制度极限可以从两个角度来考察,一是直接的制度限制,二是间接的制度限制。

就直接的制度限制而言,强加于纳税人的税收负担可以通过对税收收入占GNP(或GDP)比率设置制度限制而直接予以约束。有些国家(比如美国)就做出种种努力制定一些规章制度,限制地方政府(州政府)的税收收入超过某一限度,或限制它们征收某些税种(Ladd and Tideman,1981)。

税收的间接制度限制体现在税基或税率的制度限制和税收优惠政策或税法漏洞的制度限制两个方面。布莱纳恩和布坎南(Brennan and Buchanan,1980)讨论了前一种间接制度限制,被人们称之为布莱纳恩-布坎南规则,这些规则主要包括限定税基,禁止使用累退税率等。后一种间接制度限制是因为存在著税法漏洞而鼓励了避税活动,如纳税人增加在不征税部门或低税地区和国家的经济活动。

2.2 公共支出的极限

自然极限 同税收极限相比,公共支出限制的基本问题是公共支出活动的利益与其融资(征税、举债或货币发行)的成本被分隔。

这种分隔随著时间的推移而出现,因为比如通过举债融资的成本(举债会引致利率上扬,排挤私人投资)不会立即感受到;而且这种分隔会在不同的阶层出现,因为公共支出的受益人往往不是承担融资负担的那些人。这些关系正是传统经济的研究对象,分析税收、举债和货币发行对经济活动特别是对GNP的影响,继而研究这种关系对将来的政府支出融资会产生怎样的影响。

影响公共支出的利益与成本之间相互作用的条件(如是开放经济还是封闭经济,是固定汇率制度还是浮动汇率制度等等)以及公共支出的内生极限也就不言自明了。

制度极限 如同税收的情况一样,公共支出的直接制度限制也是规定不能突破的最大财政支出比率(财政支出占GNP比率),或从严格意义上说,就是要求预算平衡。

比较间接的制度限制是强调公共支出的利益与成本之间的联系。一种可能是减少“财政错觉”,另一种可能是削弱参政者的地位,因为参政者热衷于把政府支出的利益与成本分隔开来。这种间接的制度限制有很多方式,比如划小政府单位或建立公民复决制度等,可以使更多的人参与政治决策,削弱了政府和官僚的扩大支出的权力(Pommerehne and Frey,1978,p.71-81)。尽管理论上对于如何限制政府扩大其支出进行了充分讨论,但从总体来看对于从制度上如何有效地限制政府支出增长的经验分析还相对不多,况且制定限制政府规模的制度规则在政治上还存在著很大阻力。

3.政府管制的自然极限

在现代工业化社会中,政府对经济活动的直接非货币干预很大且日趋重要。许多经济学家的经验分析结果表明,政府管制使个人和企业付出的代价很大:威登鲍姆(Weidenbaum,1979,p.32-39)计算了1979年美国政府管制使个人和企业付出的代价(成本)高达GNP的4.3%,而唐宁和劳森(Downing and Lawson,1979)计算的1976年的结果更高,为GNP的9.4%。

当然,也有学者对这种计算提出异议,认为政府管制不只是产生成本,也会带来收益,上述计算结果可能高估了政府管制的成本(Tabb,1980,p.40-48;Schwartz,1983,p.54-56)。

尽管如此,我们必须看到,由于税收和公共支出的种种限制确实存在,政府借助管制这种工具扩大其权力,其管制行为必然会增加(Aranson and Ordeshook,1981)。

因此,研究公共管制的内生极限与外生极限越来越重要。遗憾的是,理论界对政府管制增长极限的研究寥寥无几。因此,本节主要介绍弗莱和拉姆瑟(Frey and Ramser,1983)、弗莱(Frey,1985,p.107-115)建立的管制的政治经济模型。

3.1 管制的强度与范围

我们介绍管制的政治经济模型之前,首先明确两个概念,即某一既定的经济和社会活动部门受管制的强度和管制的范围。为了说明管制强度,我们以建筑业为例。

在建筑业中,私人住宅的建造可能受到许许多多的公共管制措施所限制,这些管制措施限制了如何建房的自由。

比如在建造过程中,对噪声、废物排放、劳动力的构成(不准雇佣儿童)、工作条件(达到安全标准)等的限制;在完工之后,对建筑物的形状、高度、规模、颜色、周围绿化等的限制。重要的是这些管制的有效实施,而不是按照现有法规应当如何执行。

很多管制形式上存在,但从未有效实施;有些管制从宽执行,而有些管制从严执行。管制实施程度的这种不平衡反映了个人或企业主观上对惩罚的认识程度。如果个人或企业违反管制规定预期会受到很严厉的惩罚,那么,管制强度就会很高。

在现实中,经济生产(消费)活动受到管制的强度在各部门间差异很大。

总之,某一部门受到公共管制的强度是一个可计算的概念。

管制的范围指的是适用管制的经济和社会活动的领域有多大。

有些管制适用于所有经济活动(如除了滑冰、游泳等一些专业运动之外,禁止雇佣童工),有些管制仅限于某些经济部门(如一些特殊卫生管制仅适用于餐饮业,禁止驾驶人员饮酒),而有些领域没有公共管制(如影子或地下经济)。管制的范围也是一个可计算的概念。

从经济政策的角度来看,管制的强度与范围有很大区别。管制强度是政府掌握的一个工具。在政治允许的范围内,政府可以在形式上发布适用于某一特定经济部门的各种管制,在很大程度上也可以通过发现和惩罚无视管制的那些人来控制实际的实施程度。相反,管制实施的范围不是政府掌握的工具,在很大程度上是由个人和企业控制的。

因为,个人和企业可以选择是从事正规经济活动还是从事相同的地下经济活动。如果他们选择进入地下经济,那么,管制实施的范围就会缩小。

管制“总量”R是管制强度Q和管制范围BR的函数。

如果实施的强度为零,或者实施的范围为零(即全部活动都发生在地下经济),那么,就不存在管制,这说明该函数是乘法关系。最简单的形式是:

R=QRR (1)

但是,为了便于赋予管制强度或管制范围以相对更大的权重,(1)也可以写成下列形式:

R=Qα(BR)β (1′)

α>0,β>0

以此类推,就税收而言,管制强度相当于税率τ,管制范围相当于税基BT,则税收收入的管制量T为:

TΞτBT (2)

当然,方程式(1)和(2)并完全相同,因为不管τ和BT怎样,税收收入是可观测的,而管制数量R则不能。只有在Q、BR以及α、β是已知的情况下,管制数量R才能计算出来。

3.2 管制极限的政治经济模型

弗莱等(Frey,1985;Frey and Ramser,1983)构建的管制政治经济模型包括两组决策者,即政府和个人-企业,他们之间的相互作用产生了管制的自然极限。

政府 政府使其自身效用最大化,满足来自外部的约束条件。政府的时间期界是有限的,在某一时期内达到最大限度,这个时期取决于外生给定的大选时期。政府可以从它对私人经济的管制数量R取得效用:当管制强度提高以及它可以控制的管制范围扩大时,政府对私人经济(和社会)的影响增大,并从中享受到权力扩张的利益。

在有些情况下,特别是在一些发展中国家,管制增加也意味著政府及其官僚的货币收入增加,因为从事正规经济活动的个人和企业通过贿赂政治家和政府官员,更有效和更快捷地实现其目标。政府的效用也与税收收入的规模T正相关。

一般而言,收益是递减的:

U=U(R,T) (3)

UR>0,UT>0;URT≤0;

URR<0,UTT<0

政府可以同时利用两个工具使其效用最大化,即管制强度Q和税率τ,满足方程式(1)和(2)给定的约束条件:

maxQτU(R,T) (4)

满足

R=QRR (1)

TΞτBT (2)

私人部门 在私人部门中,当政府强加给个人和企业的负担加重时,他们就会逃离正规经济。当管制强度Q提高时,个人和企业就会逐渐转入不受管制的非正规经济;也就是说,管制的范围BB缩小。

于是,逃避管制函数(regulation-evasion function)就可以写成:

同样,当税率τ提高时,个人和企业就会转入不征税的非正规经济;也就是说,税基BT将缩小。

于是逃税函数(tax-evasion function)就可以写成:

BT=BT(τ), (6)

为了简化起见,假定未管制的和未征税的非正规经济是等同的,所以,税率和管制强度所适用的范围B是惟一的:

B=BR=BT (7)

根据方程式(5)和(6),管制和征税的范围B取决于管制强度Q和征税强度(税率)τ:

B=B(Q,τ) (8)

然而,个人和企业不能立即适应新的管制和征税强度,他们是按照原先既定的管制强度Q0和税率τ0组织其经济生产活动和消费方式的。

这两种强度的提高对范围的影响由两部分组成:一部分是短期影响,取决于差额(QQ0)和(τ-τ0)的大小;另一部分是长期影响,取决于Q和τ。为了简化起见,假定这些影响具有累加可分性:

B=B(Q,τ,Q0,τ0)

=BS(Q-Q0,τ-τ0)

+RL(Q,τ) (9)

根据(1)式,管制数量也由两部分组成,即短期数量RS和长期数量RL:

R=RS(Q,τ,Q-Q0,τ-τ0)+RL(Q,τ) (10)

同样,根据(2)式,税收收入亦由两部分构成,即短期税收收入TS和长期税收收入TL

T=Ts(Q,τ,Q-Q0,τ-τ0)

+TL(Q,τ) (11)

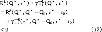
政府与私人部门间的相互作用 个人和企业对管制和征税做出反应的行为以及政府追求其自身效用的行为,在Q0和τ0保持不变且(Q*,τ*)>0的情况下,将使政府的短期最大化问题产生内部最优解。政府最佳利用工具的充分必要条件是:

其中,

γ≡UT/UR>0,i=Q,τ

(12)式表明,效用最大化的政府把其掌握的工具Q和τ的值定得高于在长期(以效用加权后)管制权和征税权之和的最大值。同这种长期最大值(当时)相比,仅对短期大选时期感兴趣的政府通常既会“过度管制”,又会“过度征税”。

可是,无论是管制还是征税都存在著一个内生有限的极限,如同存在著一个惟一的由(Q*,τ*)给定的最优解一样:政府无法再增加管制强度和过多地征税,因为个人和企业通过转入非正规经济做出反应。

如果管制和征税所适用的范围越来越萎缩,那么,政府提高管制和征税的强度是毫无道理的,这无异于杀鸡取卵。

在长期,个人和企业已习惯的管制和征税的初始强度(Q0,τ0)逐渐调整到现行水平,这种调整会产生成本:个人和企业必定寻找新的途径绕过管制,逃避纳税。例如,当政府提高税率时,个人和企业就会聘请税务顾问,寻找节税方法。

我们有理由假定调整的边际成本是递增的,因为逃避纳税和管制的途径越来越难找到。因此,调整成本函数可以写成:

为了简化起见,假定躲避管制的调整成本与躲避纳税的调整成本无关,亦即该成本函数具有累加可分性:

由此可知,调整过程可用如下适应性公式来描述:

(15)

(16)

其中,始终为零。

利用各工具的短期最优值:

Q=Q*Q(Q0,τ0) (17)

τ=τ*τ(Q0,τ0) (18)

可得:

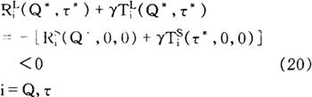
式中,(Q**,τ**)是管制和征税的长期最优强度。

它们是下式的解:

(19)式告诉我们,短期最优强度(Q*,τ*)收敛于长期最优强度(Q**,τ**);(20)式告诉我们,在长期,也就是说,当个人和企业把他们已习惯的管制和征税的“正常”强度调整到实际强度时,也同短期的情况一样,存在著“过度管制”和“过度征税”。这再一次说明了管制和征税存在著内生有限的极限。

当然,上述模型只是一种简单的理论模型,在于阐示政府的管制活动也是有限度的。

至于这种极限到底多大,因理论框架尚不完善,再加之缺乏可利用的数据,至今还没有人能够准确确定。不过,有些学者就管制和征税强度与影子经济规模之间的关系进行了尝试性研究。

弗莱和怀克(Frey and Weck,1984)曾利用“隐含变量”方法进行经验研究,发现管制和征税强度的提高将扩大影子经济,在统计上表现得非常显著。哈维曼等(Haveman et al,1983)利用费格(Feige,1979,p.5-13)倡导的交易方法计量影子经济的规模,也发现管制和征税强度的影响在统计上具有很高的显著性。

这些研究结果表明,管制和征税的范围(即正规经济的规模)与政府强加给个人和企业的负担逆相关。

4.结语

到目前为止,理论界对政府增长极限问题的研究是不平衡的:对税收的自然极限和制度极限研究得比较系统和深入,对公共支出的自然极限研究得也比较多,对公共支出的制度极限的研究尚处于初级阶段,而对管制极限的研究几乎还处于空白。

可是,管制是政府活动的重要组成部分,特别是在税收和公共支出接近极限的情况下,管制会越来越重要。因此,对管制极限的研究也就提到议事日程上来。本文介绍的管制的政治经济模型表明,管制的确存在著自然极限,如果超出这一极限,政府就缺少了理性。

一般来说,在逃避弹性较小的领域,管制强度比较高;在逃避弹性较大的领域,管制强度比较低。

。【参考文献】:

纯共用品的配置理论(Theory of Pure Public Goods Allocation)

Aranson, P. H. and P. C. Ordeshook, 1981, Alternative Theories of the Growth of Government and Their Implications for Constitutional Tax and Spending Limits, in H. F. Ladd and N. T. Tideman, eds. , Tax and Expenditure Limitations, Urban Institute.

Brennan, G. and J. M. Buchanan, 1980, The Power to Tax: Analytical Foundations of a Fiscal Constitution, Cambridge University Press.

Buchanan, J. M., 1977, Freedom in Constitutional Contract, Perspectives of a Political Economist, Texas A & M University Press.

Buchanan, J. M. and D. R. Lee, 1982, Politics, Time and the Laffer Curve, Journal of Political Economy 90.

Buchanan, J. M. and G. Tullock, 1962, The Calculus of Consent, Logical Foundations of Constitutional Democracy, University of Michigan Press.

Downing, P. B. and A. Lawson, 1979, Policy Consequences of Regulatory Cost Measurements, Virginia Polytechnic Institute and State University.

Feige, E. L., 1979, How Big Is the Irregular Economy? Challenge 22.

Feige, E. L., 1982, A New Perspective on Macroeconomic Phenomena, in M. Walker, ed., The International Burden of Government, Vancouver.

Frey, B. S., 1983, Democratic Economic Policy, A Theoretical Approach, St.Martin's Press.

Frey, B. S., 1985, Are there Natural Limits to the Growth of Government? in F. Forte and A. Peacock, eds., Public Expenditure and Government Growth, Basil Blackwell.

Frey, B. S. and W. W. Pommerehne, 1985, The Hidden Economy: State and Prospects for Measurement,Review of Income and Wealth.

Frey, B. S. and H-J. Ramser, 1983, Where Are the Limits of Regulation? Discussion Paper Series, A-Nr. 181,University of Konstanz.

Frey, B. S. and H. Week, 1984, The Hidden Economy as an "Unobserved Variable', Discussion Paper Series,University of Zurich.

Haveman, R. H., W. W. Pommerehne, F. Schneider, and B. Wolf, 1983, The Decline of Productivity Growth and the Rise of the Shadow Economy in the United States, University of Wisconsin.

Ladd, H. F. and N. T. Tideman, 1981, Tax and Expenditure Limitations, Urban Institute.

Nordhaus, W. D., 1975, The Political Business Cycle, Review of Economic Studies 42.

Peacock, A. T. and G. K. Shaw, 1982, Tax Evasion and Tax Revenue Loss, Public Finance 37.

Pommerehne, W. W. and B. S. Frey, 1978, Bureaucratic Behavior in Democracy: A Case Study, Public Finance 33.

Schmidt, K., 1985, Is There a Natural Limit to Public-Spending Growth? or the Spirit of the Age as a Determinant of the Development of Public Spending, in F. Forte and A.Peacock, eds. , Public Expenditure and Government Growth, Basil Blackwell.

Schwartz, J. E., 1983, The Hidden Truth about Regulation, Challenge 26.

Tabb, W. K., 1980, Government Regulations: Two Sides to the Story, Challenge 23.

Tanzi, V., 1980, The Underground Economy in the United States: Estimates and Implications, Banca Nationale del Lavoro Quarterly Review 135.

Tanzi, V., 1982, The Underground Economy in the United States and Abroad,Heath.

Weidenbaum, M. L., 1979, The High Cost of Government Regulation, Challenge 22.

随便看

 

离鸟网收录3541549条中英文词条,其功能与新华字典、现代汉语词典、牛津高阶英汉词典等各类中英文词典类似,基本涵盖了全部常用中英文字词句的读音、释义及用法,是语言学习和写作的有利工具。

 

Copyright © 2004-2024 vtrois.com All Rights Reserved
更新时间:2026/4/7 14:16:32