网站首页  词典首页


请输入您要查询的字词:

 

字词 敌鼠
类别 中英文字词句释义及详细解析
释义 敌鼠

又称野鼠净、敌鼠钠盐。

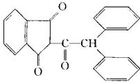
第一代广谱抗凝血型杀鼠剂。化学名称:2-(2,2-二苯基乙酰基)-1,3-茚满二酮。化学结构式如左。

原药为黄色无臭针状结晶。密度1.281(25℃),熔点145℃,微溶于水,溶于丙酮、乙醇,对水及弱氧化剂稳定。靶谱广,适口性好,作用缓慢,无拒食作用,效果佳。

竞争性的抑制维生素K,阻碍合成血液中的凝血酶原,使血渗性增强,导致皮下、内脏、胃肠内出血而缺氧休克致死,中毒潜伏期4~6天。大鼠急性口服LD50为3mg/kg。

对猫、狗、兔敏感,会发生二次中毒。解毒剂为注射维生素K。

随便看

 

离鸟网收录3541549条中英文词条,其功能与新华字典、现代汉语词典、牛津高阶英汉词典等各类中英文词典类似,基本涵盖了全部常用中英文字词句的读音、释义及用法,是语言学习和写作的有利工具。

 

Copyright © 2004-2024 vtrois.com All Rights Reserved
更新时间:2026/4/7 8:17:04