网站首页  词典首页


请输入您要查询的字词:

 

字词 救必应
类别 中英文字词句释义及详细解析
释义 救必应

【概况】:

异名 白木香(《岭南采药录》),龙胆仔、白沉香、白银、白兰香、熊胆木、碎骨木、小风藤、白凡木、九层皮、红熊胆(《中药大辞典》)。

基源 为冬青科冬青属植物铁冬青的根、根皮和叶。

原植物 铁冬青Ilex rotunda Thunb.有些地区也用小果铁冬青Ilex rotunda Thunb.var.microcarpa(Lindl.)S.Y.Hu

形态 常绿乔木,高5~15m,树皮淡灰色,内皮黄,味极苦,小枝红褐色,稍有棱,平滑无毛。

单叶互生,薄革质或厚纸质,椭圆形或长椭圆形,长4~8cm,宽2~4cm,顶端渐尖或短渐尖,基部楔形或钝圆,全缘,上面深绿色,有光泽,下面淡绿色,两面无毛,羽状叶脉,侧脉每边6~9条,网脉不明显,叶柄长1~1.5cm,红褐色。花小,白色;雄花4基数,雌花5~7基数,聚伞花序或假伞形花序腋生,有花4~6朵,总花梗和花梗无毛。

核果近球形,直径约5mm,初时黄色,成熟时呈红色,宿存柱头盘状,5~7裂;分核5~7枚,三角状披针形,长约5mm,背部具3条纵脊和2条浅沟槽、两侧面平滑。花期4~5月,果期8~10月。

(图见《中国高等植物图鉴》.第2册.646页.图3021)

生境与分布 生于海拔1000m以下的山坡灌丛或路边林缘。分布于中国江苏、安徽、浙江、江西、福建、台湾、湖北、湖南、广东、贵州;朝鲜、日本也有。

小果铁冬青llex rotunda Thunb.var.microcarpa(Lindl.)S.Y.Hu与铁冬青极为相似,主要区别在于:本种的总花梗和花梗具细毛。花期4~5月,果期8~10月。生于山坡灌丛或杂木林中。分布于江苏、安徽、浙江、江西、福建、台湾、湖南、广东、贵州。

。【化学】:

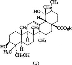
叶含具柄冬青甙(长梗冬青甙;救必应甙乙;Pedunculoside)(1)、其甙元为救必应酸(铁冬青酸;Ro tundic acid)[1]

还含救必应皂甙XXIX-XXXII,XLIXLV、XLVI-LI(拟)(Ilexoside XXIX-XXXII,XLIXLV,XLVI-LI),救必应皂甙XLI(Ilexoside XLI为救必应酸28-O-α-D-吡喃葡萄糖酰(1→6)-β-D-吡喃葡萄糖甙(Rotundic acid 28-O-α-D-glucopyranosyl(1→6)-β-D-glucopyranoside];救必应皂甙XLII为30-羟基救必应酸28-O-β-D-吡喃葡萄糖甙[30-Hydroxyrotundic acid 28-O-β-D-glucopyranoside][6、7、8]

附 树皮含救必应酸、具柄冬青甙(1)、铁冬青酸异丙叉酮缩醇(Rotundic acid isopropylidene)、丁香甙(即:救必应甙甲;冬青素甲;救必应乙素;Syringin)(2)、芥子醛(Sinapaldehyde)、芥子醛葡萄糖甙(Sinapaldehydeglucoside)、丁香醛(Syringaldehyde)、3-乙酰齐墩果酸(3-Acetyloleanolic acid)、硬脂酸[2]

果含1-咖啡酰奎宁酸(I-Caffeoylquinic acid)、绿原酸(Chlorogenic acid)、新绿原酸(Neochlorogenic acid)[3]、具栖冬青甙(Pedunculoside)、救必应酸、救必应吉诺甙(拟)(Rotungenoside)、3β,19α,24-三羟基乌苏-12-烯-28-酸(3β,19α,24-Trihydroxyurs-12-ene-28-oic acid;Rotungenic acid)、3β,19α-二羟基乌苏12-稀-23,28-二酸(3β,19α-Dihydroxyurs-12-ene23,28-dioic acid;Rotundioic acid)[4,5]

种子含救必应酸[5]

参考文献 [1] 日本化学会志 1973;(4)∶778 [2] 中草药 1991;22(6)∶246 [3] CA 1989;111∶171142n [4] Phytochemistry 1989;28(5)∶1479. [5] CA 1989;111∶36614 Bull Chem Soc Jpn 1989;62(2)∶469 [6] Chem Pharm Bull 1992;40(12)∶3138 [7] Chem Pharm Bull 1993;41(1)∶39 [8] Chem Pharm Bull 1993;41(1)∶77

。【药性】:

性味 苦,寒。

❶ 《全国中草药汇编》:“苦,凉。”
❷ 《岭南采药录》:“味苦。”

功效 清热凉血,消炎,止痛。

主治 暑湿感冒发热,咽喉肿痛,脘腹胀痛,腹泻,痢疾;外治烧、烫伤。

❶ 《全国中草药汇编》:“感冒,扁桃体炎,咽喉肿痛,急性胃肠炎,风湿骨痛;外用治跌打损伤,痈疖疮疡,外伤出血,烧烫伤。”
❷ 《新华本草纲要》:“树皮:用于暑湿感冒,发热,咽喉肿痛,脘腹胀痛,腹泻痢疾,外治烧烫伤,脓疱疮,又治内出血,血崩,鼻衄,湿疹,疔癀。根:用于胃病,感冒发热,肠炎,便血,湿疹,皮肤过敏。叶:亦可止血,治湿疹。”
❸ 《南宁市药物志》:“治痧症,内热。熬膏可治热疮。”

用法用量 内服:煎汤,9~21g。外用:捣敷或熬膏涂。

。【临床应用】:

方选和验方 ❶ 江西《草药手册》:“治一般胃痛:铁冬青(即救不应)10g,鸡蛋壳15g,绯红南五味子10g,白及10g,石菖蒲3g。共研细粉,每次服15g,每日2次,饭后服。”
❷ 江西《草药手册》:“治胃、十二指肠溃疡:铁冬青60g,海螵蛸120g,绯红南五味子60g,竹叶椒30g。共研为细粉,作成小颗粒,每服1.5g,每日3次。


❸ 广西《中草药新医疗法处方集》:“治急、慢性肝炎:救必应45g,八角王15g。2药均用树皮,刮去粗皮,切片,加水300ml,煎至150ml,每日1剂,分2次服。”

单方应用 ❶ 《广西中草药》:“治外感风热头痛:救必应30g。水煎,日服3次。”
❷ 《广西中草药》:“治喉痛:干救必应10g。水煎作茶饮。


❸ 《广西中草药》:“治跌打肿痛:救必应树皮6g,研粉,白糖30g,开水冲服。”
❹ 《广西中草药》:“治汤火伤:干救必应研粉,用冷开水调成糊状,日涂5~6次。”
❺ 广西《中草药新医疗法处方集》:“治神经性皮炎:熊胆木(即救必应)皮90g。煎水外洗局部。”
❻ 《常用中草药手册》:“治烧伤、疮疡:救必应研末,调油涂患处。”
❼ 新中医 1971;(1):“用于抗感染(皮肤疮疖、蜂窝织炎、深部脓肿、上呼吸道感染、急性扁桃体炎、急性胃肠炎、菌痢、烧伤感染及手术后预感染等):制成注射剂、片剂和溶液应用。注射剂每次肌注2ml,片剂每服4片,均每日3~4次;溶液供局部外用。

随便看

 

离鸟网收录3541549条中英文词条,其功能与新华字典、现代汉语词典、牛津高阶英汉词典等各类中英文词典类似,基本涵盖了全部常用中英文字词句的读音、释义及用法,是语言学习和写作的有利工具。

 

Copyright © 2004-2024 vtrois.com All Rights Reserved
更新时间:2026/4/9 14:41:58