网站首页  词典首页


请输入您要查询的字词:

 

字词 教育商数
类别 中英文字词句释义及详细解析
释义 教育商数

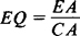
一种用以表示学生教育成就的指标,因其用教育年龄与实际年龄的比值表示,故称教育商数。计算公式为:

EA:教育年龄(参见该条)。

CA:实际年龄

随便看

 

离鸟网收录3541549条中英文词条,其功能与新华字典、现代汉语词典、牛津高阶英汉词典等各类中英文词典类似,基本涵盖了全部常用中英文字词句的读音、释义及用法,是语言学习和写作的有利工具。

 

Copyright © 2004-2024 vtrois.com All Rights Reserved
更新时间:2026/4/6 19:49:24