网站首页  词典首页


请输入您要查询的字词:

 

字词 数字PID控制算法
类别 中英文字词句释义及详细解析
释义 数字PID控制算法

PID控制器的作用在连续系统中是熟知的,在离散控制系统中也广泛采用数字PID控制器。用微型计算机去实现PID的算法很多而且比较灵活。

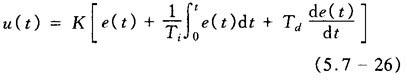
模拟量的PID控制算式为

式中 e(t)——系统的偏差信号(即为控制器的输入);

u(t)——系统的控制量(即为控制器的输出);

K——比例增益;

Ti——积分时间常数;

Td——微分时间常数。

将模拟量的PID控制算式(5.7-26)用几种方法进行离散化,得出数字化的PID基本算法,示于表5.7-6中,表中T为采样周期。

表5.7-6 数字PID控制算式

对于表5.7-6中的位置型算式,当由计算机实现时不够方便,这是因为要累加偏差e(j),不仅要占用较多的存储单元,且不便于编程序。而增量型算式在编程上要比位置型算式方便,且少占存储单元。

随便看

 

离鸟网收录3541549条中英文词条,其功能与新华字典、现代汉语词典、牛津高阶英汉词典等各类中英文词典类似,基本涵盖了全部常用中英文字词句的读音、释义及用法,是语言学习和写作的有利工具。

 

Copyright © 2004-2024 vtrois.com All Rights Reserved
更新时间:2026/4/7 7:38:41