网站首页  词典首页


请输入您要查询的字词:

 

字词 数学归纳法
类别 中英文字词句释义及详细解析
释义 数学归纳法

1.数学归纳法的两个步骤是:

(Ⅰ)证明当n=no时,结论正确;

(Ⅱ)假设n=k(k∈N*且k≥no)时结论正确,证明n=k+1时结论也正确.

两个步骤是一个统一的整体,有(Ⅰ)无(Ⅱ),只是孤立地证明了命题在特殊情况下的正确性,无法进行递推,有(Ⅱ)无(Ⅰ)缺少递推的基础,也无法进行递推,因此,数学归纳法的两个步骤不可分割,缺一不可.用数学归纳法证题时,利用归纳假设证n=k+1时命题成立是关键的一步.要证好这一步,首先要明确以下两点:一是要证什么?即n=k+1时的命题是什么?二是n=k+1时命题与归纳假设的区别是什么?明确了这两点也就明确了这一步证明的方向和基本方法,在证明这一步时,特别应注意要把归纳假设当做已知条件使用,而且必须使用归纳假设,否则就不是数学归纳法.

在步骤(Ⅱ)的证明过程中,突出了两个“凑”字,一“凑”假设,二“凑”结论,关键是明确n=k+1时证明的目标,充分考虑由n=k到n=k+1时命题形式之间的区别和联系.

数学归纳法是用两个命题的证明(即步骤(1)和(2))代替了无穷多个命题的证明,这里体现了有穷与无穷的辩证关系.

掌握数学归纳法证明问题的基本方法并不难,学习中的困难往往来自于以下几个方面:

1.常规的数学问题中,都要求通过归纳得出一个结论,再用数学归纳法证明,这里就要求能正确地归纳,或者说归纳出一个正确的结论,就像归纳出一个通项公式、一个等式或其他的公式.因此在归纳出一个结论后,要先作验证工作,否则“证明”是得不到好结果的.

2数学归纳法证明过程中,要用到各部分的数学知识,综合性较强,有时一个命题不会证明,并不是因为不熟悉数学归纳法,而是综合能力较差.

3.在识别“n取第一个值时,命题的形式”时要认真对待,同样,在发现n=k+1的命题与n=k的命题的内在联系时,也容易发生差错,更应引起重视.

4.有时命题在证明之前宜将其形式作些变化,以利于证明和叙述.例如,数学归纳法证明等差数列的前n项和的公式+an),宜改成又知,在证明当n为正奇数时,xn+yn一定能被x+y整除;n是偶数时,xn—yn一定能被x—y整除,宜将xn+yn及xn—yn改写成x2n—1+y2n—1及x2n—y2n(n∈N*).

5.对于当n=k+1时的证明是整个证明过程中的重点和难点,此处要运用归纳假设和其他数学方法(如分析法、综合法、比较法、反证法等).

可以这样认为:数学归纳法是用两个命题的证明,代替了无穷多个命题的证明,它充分体现了有穷与无穷的辩证关系.

能运用数学归纳法证明下列问题:

(1)证明与自然数n有关的恒等式和不等式;

(2)证明整除问题;

(3)证明与自然数n有关的几何问题;

(4)证明数列问题;

(5)证明某些归纳、猜想问题.

例1 试证明:

综合(1)(2)对任意n∈N*都成立.

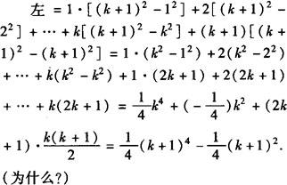
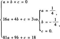
例2 是否存在常数a,b,c使等式1·(n2—12)+2(n2—22)+…+n(n2—n2)=an4+bn2+c对一切正整数n成立?证明你的结论.

分别用n=1,2,3代入解方程组

证明

下面用数学归纳法证明.

(1)当n=1时,由上可知等式成立.

(2)假设当n=k时等式成立.

则当n=k+1时,

由(1),(2)得等式对一切的n∈N*均成立.

这类问题的解法思路是:若存在a,b,c使等式成立,首先对n=1,2,3时,等式应成立,因此,对n=1,2,3先把a,b,c求出,再代回等式,最后用数学归纳法证明才能证明存在常数a,b,c使等式成立.

例3 用数学归纳法证明:(3n+1)7n1(n∈N*)能被9整除.

证明 在推证从f(k)到f(k+1)时,可利用f(k+1)—f(k)和f(k)都能被9整除,那么f(k+1)可被9整除的技巧.

令f(n)=(3n+1)7n—1.

(1)f(1)=(3×1+1)71—1=27能被9整除.

(2)假设f(k)(k∈N*)能被9整除,则f(k+1)—f(k)=[(3k+4)·7k+1—1]—[(3k+1)·7k—1]=9·(2k+3)·7k

∴f(k+1)=f(k)+9(2k+3)·7k能被9整除,由(1)、(2)可知,对一切n∈N*,命题成立.

另证:(1)n=1时,原式=4×7—1=27能被9整除,(2)若n=k(k≥1),(3k+1)·7k1能被9整除,则n=k+1时[3(k+1)+1]·7k+1—1=[(3k+1)+3](1+6)·7k—1=(3k+1)7k—1+(3k+1)·6·7k+21·7k=[(3k+1)·7k—1]+18k·7k+27·7k

∴n=k+1时也能被9整除.

这两种证法实质是相同的,第一种证法是用f(k+1)—f(k)来找f(k+1)与f(k)的差,看这个差能否被9整除,而第二种证法是从f(k+1)中凑出f(k),然后再证余下的部分也能被9整除,前一种证法告诉我们f(k+1)与f(k)差的计算法,算法直截了当.

随便看

 

离鸟网收录3541549条中英文词条,其功能与新华字典、现代汉语词典、牛津高阶英汉词典等各类中英文词典类似,基本涵盖了全部常用中英文字词句的读音、释义及用法,是语言学习和写作的有利工具。

 

Copyright © 2004-2024 vtrois.com All Rights Reserved
更新时间:2026/4/7 8:50:24