网站首页  词典首页


请输入您要查询的字词:

 

字词 数学相似
类别 中英文字词句释义及详细解析
释义 数学相似

指两个或两个以上在本质上不同的体系,都遵循著同样的数学规律。

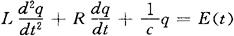
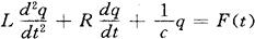
具有数学相似的系统之间存在著如下关系:第一,描述系统各参数之间关系的数学形式相似。如机械系统在外力F(t)作用下产生机械振荡,根据力学定律,其数学描述为:

而电路系统在电压E(t)作用下产生电振荡,根据电学定律,其数学描述为:

第二,物理本质不同的系统中每一个变量和参量彼此一一对应。正是体系之间的这种相似性,为数学模拟方法提供了客观基础。

随便看

 

离鸟网收录3541549条中英文词条,其功能与新华字典、现代汉语词典、牛津高阶英汉词典等各类中英文词典类似,基本涵盖了全部常用中英文字词句的读音、释义及用法,是语言学习和写作的有利工具。

 

Copyright © 2004-2024 vtrois.com All Rights Reserved
更新时间:2026/4/6 16:20:42