网站首页  词典首页


请输入您要查询的字词:

 

字词 数理统计
类别 中英文字词句释义及详细解析
释义 数理统计

14.2.1 总体参数的估计

(1)样本特征数与总体数字特征对照表

见表1.1-20。

表1.1-20 样本特征数与总体数字特征对照表

(2)总体参数的点估计

❶ 矩估计法。用样本矩作为相应的总体ξ的矩估计量:

❷ 最大似然法。似然函数

式中 f(xi,θ)是随机变量xi的概率分布;θ为有待估计的参数。

由方程=0或=0解出的θ是x1,x2,…xn的函数,使L(θ)达到最大值的θ(x1,x2,…xn)记作(x1,x2,…,xn),称为总体参数θ的最大似然估计量。若参数不止一个,可用偏导数代替导数。

(3)样本的频率分布

频率分布较完整地反映实验数据的变化规律。

注:当n较大时,取s2=建立频率分布的步骤是(设样本为x1,x2,…,xn):

❶ 找出最大值和最小值,求得极差R==max{x1}-min{x1};

❷ 根据样本大小分组,通常大样本分成10~20组,小样本分成5~6组,再根据组数k和极差R决定组距c,如果按等距分组,则c≈

❸ 确定分点(常取比原数据精度高一位);

❹ 数出各组的频数v1

❺ 计算频率

❻ 作直方图(分点为横坐标,频率与组距之比为纵坐标):

❼ 如果变量是连续的,则描出光滑曲线,近似地代替总体的分布。

(4)总体参数的区间估计

总体参数的区间估计列于表1.1-21。假设总体遵从正态分布N(μ,σ2)。对于预先给定的置信度a,可用一个样本x1,x2,…xn的均值x和标准差s来估计总体的μ和σ2的置信区间,也可以用两个样本{x11,x12,…,x1n}和{x21,x22,x2n}的和s1,a2来估计两个总体均值差μ1-μ2的置信区间。

表1.1-21 总体参数的区间估计表

14.2.2 统计检验

(1)参数假设检验

正态总体参数的统计检验方法如表1.1-22所列。对于大样本,不管总体遵从什么分布,根据中心极限定理,可以认为样本均值x渐近遵从正态分布,因此利用“μ检验法”对总体参数进行统计检验。

表1.1-22 正态总体参数的统计检验表

(2)非参数假设检验(要求大样本)

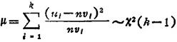
对确定的分布函数的x2检验方法如下:

❶ 假设H0:ξ~F(x)(已知F(x)的分布类型及参数)。

❷ 根据样本的范围把实轴分成k个不相交区间S1=(c1,c2);Si=(c1,cl+1)(i=2,3,…,k),使样本在每个子区间Si中出现的个数u1≥5。计算理论频率:v1=F(c1+1)-F(ci)=P(c1≤ξ<c1+1)。

❸ 选取统计量

式中的n为样本实验或观测次数。

❹ 确定给定置信度a下的否定域u≥ua,ua确定。

❺ 计算统计量的观察值μ,可作出如下判断:当μ≥μa时,拒绝原假设H0;当μ<μa时,接受原假设H0

对于分布函数的类型已知,而参数未知的x2检验方法如下:

❶ 假设H0:ξ~F(x),已知F(x)的类型,但有l个未知参数λ1,λ2,…,λ1

❷ 用最大似然确定l个参数的估计量

❸ 划分区间Si,确定vi,ui

❹ 选取统计量

式中的n为样本实验或观测次数。

❺ 确定给定置信度a下的否定域u乡ua,ua确定。

❻ 计算统计量的观察值u,并获得如下结论:当u≥ua时,拒绝原假设H0;当u<ua时,接受原

表中a为给定量信度,为样本均值,s为样本标准差假设H0

14.2.3 方差分析

(1)单因素方差分析

问题提法:考虑一个因素A的不同水平对所考察对象的影响。对A的k个不同水平Ai(其分布~N(μi),i=1,2,…,k)进行试验,得到试验数据{xif}(i=1,2,…,k;j=1,2,…nk)。假定σ12=…=σk,检验各Ai的试验结果的平均值有无显著差异。

检验步骤:

❶ 假设H0:μ12=…=μk。

❷ 选取统计量并明确其分布

式中

❸ 确定给定置信度a下的否定域F≥Fa,F由(k-1,n-k)dv=a确定

❹ 作统计量

❺ 按表1.1-23获得统计推断。

表1.1-23 单因素方差分析表

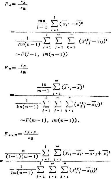
(2)双因素方差分析

考虑两个因素A和B的影响。A分成l个等级A1,A2.…,A1;B为分成m个等级B1,B2,…,Bm。在双因素Ai×Bj条件下(即每次试验都让Ai与Bj作l·m种配合)作n次试验,得lmn个数据(k=1,2,…,n);i=1,2,…,l;j=1,2,…,m)。假定{}的分布服从N(μif,σ2),检验A的作用或B的作用或A×B的作用分别对试验结果有无显著影响。其检验步骤如下:

❶ 假设H0:对应的作用(A或B或A×B)对试验结果无显著影响。

❷ 选取统计量并明确其分布

式中

❸ 确定给定置信度a下的置信界限Fa.当自由度为(f1,f2)时,F*满足Fa

❹ 计算统计量

❺ 按表1.1-24获得统计推断

表1.1-24 双因表方差分析表

14.2.4 线性相关分析

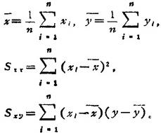
(1)两个随机变量的样本线性相关分析

设两个随机变量x和y的n次独立观测值为

使0=〔yi-(axi+b)〕2达到最小值的线性回归系数为a=,b=。其中

样本相关系数为

rzy=其中Syy=(yi-2

当|rxy|=1时,相对误差量为零,则yi=ax1+b,说明x1和yi的关系密切到可以相互线性表示。当rxy=0,相对误差量达到最大值1,说明x1和y1毫无线性关系。当0<|rxy|<1时,|rxy|越接近1,相对误差量就越接近于零,即点(x1,yi)就越聚集在回归直线附近。

(2)多个随机变量的样本线性相关分析

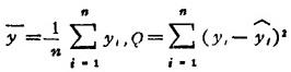
n组随机变量y;x1,x2,…,xm的试验观测值为yi;x1i,x2i,…,xmi,(i=1,2,…,n),通过多元线性回归分析方法获得的变量y与变量x1、x2,…,xm的线性回归关系式的回归效果,可由复相关系数和F检验结果来体现。复相关系数为

当R越接近于1时,相对误差量就越接近于零,说明线性回归效果越好。

还可以定义变量y对变量xj的偏相关系数

式中 Qj=〔yi-(b+b1x1i+…+bj1x(j-1)i+bj+1x(∫+1)i+…+hmxmi)〕2

当|rj|越大时,说明xj对y的作用越显著,这时不可把xj剔除。

随便看

 

离鸟网收录3541549条中英文词条,其功能与新华字典、现代汉语词典、牛津高阶英汉词典等各类中英文词典类似,基本涵盖了全部常用中英文字词句的读音、释义及用法,是语言学习和写作的有利工具。

 

Copyright © 2004-2024 vtrois.com All Rights Reserved
更新时间:2026/4/6 23:58:20