网站首页  词典首页


请输入您要查询的字词:

 

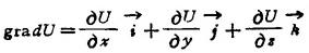
字词 数量场U=U(x,y,z)的梯度
类别 中英文字词句释义及详细解析
释义 数量场U=U(x,y,z)的梯度

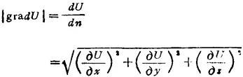
表示x,y,z轴上的单位矢量。数量场的梯度的方向为与过(x、y、z)点等值面U=c的法线方向重合,且其方向指向U增加一方,是函数U变化最快的方向。数量场的梯度的模等于函数U沿法线n的方向导数,即

13.1.1 U的方向导数

式中 表示s方向上的单位矢量,即

=(cosa)+(cosβ)+(cosγ)·

13.1.2 数量场梯度的性质

grad(U1+U2)=gradU1+gradU2

grad(U1U2)=U1gradU2+U2gradU1

随便看

 

离鸟网收录3541549条中英文词条,其功能与新华字典、现代汉语词典、牛津高阶英汉词典等各类中英文词典类似,基本涵盖了全部常用中英文字词句的读音、释义及用法,是语言学习和写作的有利工具。

 

Copyright © 2004-2024 vtrois.com All Rights Reserved
更新时间:2026/4/5 22:17:24