数量经济预测法
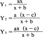
利用各种经济因素之间的数量依存关系来进行预测的方法。 经济现象同其它客观现象一样。可以从质与量两个方面去研究。例如,商品的销售就与工资水平、商品价格、商业网点的多少有关。只要有足够的资料,就可以求出它们之间的数量关系。 瑞典经济学家顿克维斯发现三个具体的供求变化和收入变化之间的关系:  式中:x为按人口平均的收入;Yi为按人口平均的食品需要量;Y2为按人口平均的服装等必需品需要量;y3为按人口平均的奢侈品需要量;a、b、c为常数。只要知道按人口平均收入的变化情况,就可以预测食物、必需品和奢侈品需要量。 |