网站首页  词典首页


请输入您要查询的字词:

 

字词 整群抽样误差
类别 中英文字词句释义及详细解析
释义 整群抽样误差

在整群抽样中,由于每次抽选的不是个别单位,而是一群或一组,因而它的精确程度主要决定于各群间平均数的变异程度。

各群间平均数的变异程度愈小,则抽样结果就愈精确。测定各群间平均数变异程度的指标,称之为群间方差(或组间方差),即各群的平均数对组间平均数的方差。整群抽样一般是按不重复抽样组织的,其抽样平均误差公式为:

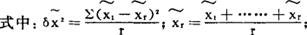
(1)当测定平均数时

表示每个群的平均数;表示群间平均数;R表示全及总体中划分的群数;r表示抽选群数。

(2)当测定成数时

式中:;;ω1表示每个群的频率;ωr表示群间频率。

随便看

 

离鸟网收录3541549条中英文词条,其功能与新华字典、现代汉语词典、牛津高阶英汉词典等各类中英文词典类似,基本涵盖了全部常用中英文字词句的读音、释义及用法,是语言学习和写作的有利工具。

 

Copyright © 2004-2024 vtrois.com All Rights Reserved
更新时间:2026/4/6 17:08:31