斯鲁斯基方程式
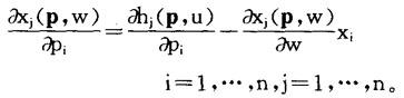
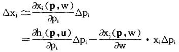
在消费者理论中,当价格p=(p1,…,pn)和收入w为一定时,消费者在预算约束下选择一个商品束x(p,w)使他达到最大限度的满足,这个商品束x(p,w)称为他的需求(函数)。 如果价格p和收入w发生变化,x(p,w)=(x1(p,w),…,xn(p,w))也随之变化。描述需求变化率之间的关系有如下的斯鲁斯基方程式:  其中u是在(p,w)下消费者所达到的最大效用水平,即u=u(x(p,w)),hj(p,u)是第j种商品的补偿需求函数。 上方程式可近似地写成  左边△xj表示由于第i种商品价格变动△pi所引起的第j种商品需求的变化,右边第一项是由于替代效果而引起的需求变化,第二项(包括负号)则表示由于收入效果而引起的需求变化。因此,斯鲁斯基方程式说明了因价格变化引起的需求变化是替代效果和收入效果之和。 |