网站首页  词典首页


请输入您要查询的字词:

 

字词 新产品生产技术准备劳动量
类别 中英文字词句释义及详细解析
释义 新产品生产技术准备劳动量

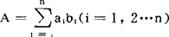
指按需要进行生产技术准备对象的数量(以实物表现)和劳动量定额计算生产技术准备劳动量的方法,其计算公式如下:

式中:A表示某一准备对象的总劳动量;n表示准备对象的复杂程度分组数;a1表示第i复杂程度组的劳动量定额;b1表示第i复杂程度组的对象数。

随便看

 

离鸟网收录3541549条中英文词条,其功能与新华字典、现代汉语词典、牛津高阶英汉词典等各类中英文词典类似,基本涵盖了全部常用中英文字词句的读音、释义及用法,是语言学习和写作的有利工具。

 

Copyright © 2004-2024 vtrois.com All Rights Reserved
更新时间:2026/4/5 15:16:14