网站首页  词典首页


请输入您要查询的字词:

 

字词 新古典增长模型
类别 中英文字词句释义及详细解析
释义 新古典增长模型

新古典增长模型是在批判哈罗德-多马模型(Harrod-Domar Growth Model)的基础上提出来的。

主要代表人物有:美国经济学家索洛(R.M.Solow,1924~),澳大利亚经济学家斯旺(T.W.Swan)和英国经济学家米德(J.E.Meade)等。索洛认为,哈罗德-多马模型所提出的稳定增长途径是“刀刃”,难以实现。其错误在于“生产是在不变的要素比例的前提下发生”的假设不符合资本主义经济的实际情况。因此,必须放弃这一假设。

新古典增长模型中提出的假设有:(1)全社会只生产一种产品;(2)在生产中资本与劳动要素的投入比例是可以变化的;(3)生产规模报酬不变;(4)完全竞争。

在没有技术进步的条件下,新古典经济增长理论的生产函数描述产量Y同资本K和劳动力L这两种生产要素投入量之间的技术关系:

Y=F(K,L) (1)

产量增长率GY与资本增长率GK、劳动力增长率GL之间关系为:

GY=αGK+βGL

如果生产要素按其边际产量获得报酬,那么α和β分别为资本和劳动力所得报酬占总产量的比例,即分别为产量的资本和劳动弹性。

这是因为Y、K和L均是时间t的函数,(1)式两端对t求导,并除以Y,经整理得:

于是

GY=dGK+βGL

其中,报酬占总产量比例,动力按其边际产量所获报酬占总产量的比例。在规模报酬不变(生产函数为一次齐次生产函数)条件下根据欧拉(Euler)定理有:

于是α+β=1。因此有:

由上式得:

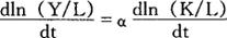
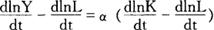
即:GY-GL=α(GK-GL)

于是可得:

即:GY/L=αGK/L

人均产量增长率GY/L为人均资本增长率GK/L的α倍。

在α为正的条件下,如果人均资本增长率GK/L>0,那么人均产量增长率GY/L>0。如果资本增长率与劳动力增长率相等(GK-GL=0),那么人均产量增长率GY/I等于零。

在技术进步条件下,新古典经济增长理论的生产函数为:

Y=eρtF(K,L) (2)

其中ρ为技术进步增长率。

产量增长率、技术进步增长率、资本增长率和劳动力增长率关系为:

GY=ρ+αGK+(1-α)GL

这是因为对(2)式取对数,然后两端对t求导得:

在规模报酬不变条件下,α+β=1,即得要证的结论。如果资本增长率与劳动力增长率相等(GK=GL),则人均产量增长率等于技术进步增长率(GY/L=ρ)。技术进步包括实物形式和非实物形式,前者如新技术发明、新设备和新工艺的采用,后者如组织管理、经营方式及管理制度的改进等。

与哈罗德-多马经济增长模型不同,新古典经济增长模型认为,资本主义经济有一种内在的力量,调整资本生产率(产量-资本比率),使得经济实现长期稳定增长。

新古典增长模型假定,储蓄完全转化为投资,即整个经济处于均衡状态,所以

S=I (1)

在长期中,储蓄与收入成比例,S=s·Y,而I=△K,所以(1)式也可写成:

△K=s·Y (2)

将(2)式代入G=α(△K/K)+(1-α)(△L/L),得:

G=α·s·Y/K+(1-α)△L/L (3)

(3)式表明,在资本产量份额α、劳动产量份额1-α、储蓄倾向s和劳动力增长率△L/L不变的情况下,经济增长率取决于资本生产率Y/K(即多马模型中的σ),并且经济增长率与资本生产率成正比例变化。

(2)式两端除以资本投入量K,得到:

△K/K=s·Y/K

这一公式表明,在储蓄率不变的情况下,资本增长率△K/K和资本生产率成正比例变化。

经济长期稳定增长的条件是经济增长率等于资本增长率,即:

△Y/Y=△K/K

该式中的经济增长率和资本增长率如果不相等,则可以通过调整资本生产率使他们相等。调整资本生产率就是要调整经济中使用的资本数量,使资本与劳动的比率发生变化,也即人均资本K/L发生变化。

所以调整资本生产率也就是调整人均资本。

并且,这里人均资本是通过价格机制在市场上实现的。

因此,人均资本的调整可以使经济增长率与资本增长率保持一致,从而实现经济的长期稳定增长,这就解决了哈罗德-多马增长模型中的“刀刃”问题。

新古典经济增长模型指出,整个经济通过人均资本调整实现稳定增长。

其假设条件是资本和劳动可以相互替代,而且是完全替代的。实际上,在生产活动中,资本和劳动的替代关系是存在的,但决不是无条件存在的。任何一种生产活动,都是资本与劳动结合的过程,是死劳动与活劳动结合的过程,其结合的比例确实反映了某种替代关系,但现实生活不会出现一方完全替代另一方的情况。

参考文献:

Meade,J.E.,1962,A Neoclassical Theory of Econorn ic Growth,London:Allen & Un win.

Solow,R.M.,1970,Growth Theory:an Exposition,Oxford;Clarendon Press.

随便看

 

离鸟网收录3541549条中英文词条,其功能与新华字典、现代汉语词典、牛津高阶英汉词典等各类中英文词典类似,基本涵盖了全部常用中英文字词句的读音、释义及用法,是语言学习和写作的有利工具。

 

Copyright © 2004-2024 vtrois.com All Rights Reserved
更新时间:2026/5/25 13:40:44