网站首页  词典首页


请输入您要查询的字词:

 

字词 新古典增长模型
类别 中英文字词句释义及详细解析
释义 新古典增长模型

认为通过市场机制调整资本与劳动两种要素的配合比例可以实现充分就业稳定增长的理论。

1956年,美国经济学家R·索洛发表了《经济增长理论》一文,把哈罗德-多马模型规定的一条极为狭窄的均衡增长途径称作“刃锋”,但他认为采用生产要素之间的可替代性可以解决“刃锋”问题,因而提出了有别于哈罗德-多马的经济增长模型。此后,英国经济学家斯旺和米德以及美国的萨缪尔森等在他们的增长模型中提出了与索洛基本相同的论点,一般把他们的增长模型称作新古典增长模型。

新古典增长模型与哈罗德-多马模型的区别表现在两个基本假定上。(1)新古典模型假定资本与劳动这两个要素是可以替代的,二者能够以可变的比例进行组合。

而在哈罗德-多马模型中,这两个要素的组合比例是固定的;(2)新古典增长模型假定,由于要素之间可以相互替代,因此市场的完全竞争可以使所有生产要素得到充分利用。而哈罗德-多马模型没有假定存在一个能够自动地充分利用生产要素的机制。

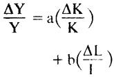
在新古典增长模型中,假定没有发生技术进步,则用表示资本增长率;用表示劳动力的增长率;用表示收入增长率,新古典增长模型的基本公式为:

其中a和b分别为资本与劳动对收入增长相对作用的权数,且a+b=1。如果变换一下这个等式,则有:

这个等式的左端是平均每人收入增长率;等式的右端为a乘一定情况下平均每个工人使用的资本增长率。

这说明经济中人均国民收入的增长,在技术条件不发生变化的情况下主要取决于人均资本的增长。

新古典增长模型认为,如果考虑技术进步因素对增长的影响,那么公式还可以改写成:

其中表示技术进步。在发生技术进步的情况下,新古典增长模型认为,即使人均资本增长率不变,人均收入增长率也会提高。如果人均资本增长率提高了,由于存在技术进步,因此,人均收入增长率将会提高得更多。

60年代以来,新古典的增长模型在理论基础方面开始向含有两个部门或多个部门的分析方面发展,而在理论应用方面,开始用来估算技术进步对经济增长的作用。

随便看

 

离鸟网收录3541549条中英文词条,其功能与新华字典、现代汉语词典、牛津高阶英汉词典等各类中英文词典类似,基本涵盖了全部常用中英文字词句的读音、释义及用法,是语言学习和写作的有利工具。

 

Copyright © 2004-2024 vtrois.com All Rights Reserved
更新时间:2026/5/25 10:34:16