网站首页  词典首页


请输入您要查询的字词:

 

字词 新霉素B
类别 中英文字词句释义及详细解析
释义 新霉素B

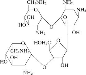
C23H46N6O13=614.65

CAS-119-04-0

2-脱氧-4-O-(2,6-二氨基-2,6-二脱氧-α-D-吡喃葡萄糖基)-5-O-[3-O-(2,6-二氨基-2,6-二脱氧-β-L-艾杜吡喃糖基)-β-D-呋喃核糖基]链霉胺。

2-Deoxy-4-O-(2,6-diamino-2,6-dideoxy-α-D-glucopyranosyl)-5-O-[3-O-(2,6-diamino-2,6-dideoxy-β-L-idopyranosyl)-β-D-ribofuranosyl]streptamine.

抗生素类药。用于葡萄球菌、痢疾杆菌、大肠杆菌、变形杆菌等感染。

NeomycinB,Framycetin(e),Framygen,Soframycin,Actilin.

INN,BAN,BP,DCF,FP,USAN,MI.

随便看

 

离鸟网收录3541549条中英文词条,其功能与新华字典、现代汉语词典、牛津高阶英汉词典等各类中英文词典类似,基本涵盖了全部常用中英文字词句的读音、释义及用法,是语言学习和写作的有利工具。

 

Copyright © 2004-2024 vtrois.com All Rights Reserved
更新时间:2026/4/6 17:21:01