网站首页  词典首页


请输入您要查询的字词:

 

字词 方向线
类别 中英文字词句释义及详细解析
释义 方向线

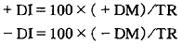
亦称“动向线”。探测价格上涨或下跌的指标。分别以正负来表示“上升动向线”(+DI)和“下跌动向线”(-DI)。其计算公式如下:

要使动向线具有参考价值,必须进行一定时期的累进运算,累计天数一般取14天,则计算公式为:

式中,±DM14及TR14分别为14天内±DM及TR值的平均值。

随便看

 

离鸟网收录3541549条中英文词条,其功能与新华字典、现代汉语词典、牛津高阶英汉词典等各类中英文词典类似,基本涵盖了全部常用中英文字词句的读音、释义及用法,是语言学习和写作的有利工具。

 

Copyright © 2004-2024 vtrois.com All Rights Reserved
更新时间:2026/4/7 10:59:52