网站首页  词典首页


请输入您要查询的字词:

 

字词 方框图与闭环系统的传递函数
类别 中英文字词句释义及详细解析
释义 方框图与闭环系统的传递函数

2.6.1 方框图的组成及其简化方法

方框图是描述系统运动特性的数学图形,由带箭头的信号线、方框、加减点(综合点)、引出点(分支点)等元素组成,如表1.9-3所示。

表1.9-3 组成方框图的元素

方框图简化过程如图1.9-21所示。即:引出点@、❺ 后移;消除反馈;消除反馈:消除反馈.得

2.6.2 闭环系统的传递函数

任何复杂的方框图,经简化后,都可变成图1.9-22所示一般形式。由该图给出系统开环传递函数、闭环传递函数等的定义。

R(s)-输入量,C(s)-输出量,B(s)-反馈信号,N(s)-扰动量,E1(s)-偏差

反馈信号B(s)与偏差信号E1(s)之比称为开环传递函数,即

系统工作时,由于输入信号和扰动同时存在,所以对闭环传递函数可利用叠加原理分别定义系统在输入信号作用下的闭环传递函数和在扰动作用下的闭环传递函数。

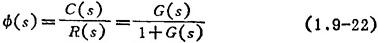
令扰动量N(s)=0,闭环系统的输出量C(s)与输入量R(s)之比称为系统在输入信号作用下的传递函数,简称闭环传递函数,一般以Φ(s)表示,

当反馈通道传递函数H(s)=1时,系统称单位反馈系统,其闭环传递函数可写成

式中 G(s)==G1(s)G2(s)。

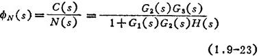
令输入量R(s)=0,闭环系统的输出量C(s)与扰动量N(s)之比称为系统在扰动作用下的闭环传递函数,一般以ΦN(s)表示,即

2.6.3 梅逊公式

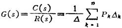
对任意结构的方框图,其两变量之间的传递函数可用下面的梅逊公式求出:

式中 n为前向通路的条数:Pk为第k条前向通路的传递函数;△=1-∑La+∑LbLc-∑LdLaLf+…,为方框图的特征式;∑La是所有反馈回路的开环传递函数之和;∑LbLc是每两个互不接触的反馈回路的开环传递函数乘积之和;∑LdLaLf是每三个互不接触的反馈回路的开环传递函数乘积之和;…;△k为第k条前向通路的余因子式,即在方框图中,把与第k条前向通路相接触的反馈回路除去以后的△值。

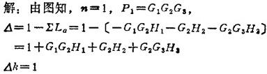
例1.9-7 利用梅逊公式计算例1.9-6方框图所示系统的传递函数C(s)/R(s)。

于是可得该系统传递函数为

随便看

 

离鸟网收录3541549条中英文词条,其功能与新华字典、现代汉语词典、牛津高阶英汉词典等各类中英文词典类似,基本涵盖了全部常用中英文字词句的读音、释义及用法,是语言学习和写作的有利工具。

 

Copyright © 2004-2024 vtrois.com All Rights Reserved
更新时间:2026/4/6 23:17:26