网站首页  词典首页


请输入您要查询的字词:

 

字词 方案评价方法
类别 中英文字词句释义及详细解析
释义 方案评价方法

适用于评选方案的评价方法。

有多种。评价得分最多者,即为最优方案。(1)优缺点列举法。

将各备选方案在技术、经济、社会方面的全部优缺点一一列出,进行比较,评价选择最优方案。这种方法,灵活简便,便于全面考虑问题,但评价比较粗糙,缺乏定量分析根据。(2)加法评分法。

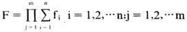
预先规定备选方案的评价要素,并按评价要素的实现程度分为若干等级,按级确定评分标准,然后由评价者按规定的评分标准评分(fi),将各评分要素的评分值相加,即得出该方案的评价总分(F)。公式为:

(3)速乘评分法。评分办法与加法评分法相同,但以各评分要素的评分值(fi)相乘后的连乘积,作为该方案的评价总分(F)。

公式为:

(4)加乘评分法。将评价要素分成m个大项目,每一个大项目再分成n个小项目,进行评分(fi),大项目所包含的小项目的评分值相加之和即为大项目的评分值,然后连乘各大项目的评分值,即得出该方案的评价总分(F)。计算公式为:

(5)加权评分法。

先用DARE法确定各评价要素的重要性系数(Wi),再用DARE法确定各方案的各评价要素的满足程度系数(Si),然后将各评价要素的重要性系数Wj乘以各方案的满足程度系数(Si)并加起来,即得出各方案的评价总分(F)。其计算公式为:

(6)技术经济综合评价法。这种方法,将技术因素(社会评价项目可包括在技术评价项目中考虑)和经济因素结合在一起进行评价,所以比较全面和可靠。

评价步骤:
❶ 用打分法先对每项技术评价项目规定其最高分,并加计最高总分∑Pmax

❷ 对各方案按技术评价项目逐项进行评分(不得超过规定最高分),并加计其总得分∑Pi
❸ 计算各方案i的技术评价系数(Xj)。

计算公式为:

❹ 根据各新方案的估计成本C0与现行原方案的成本Ci(可以参考老产品的成本作为基数估算)进行比较,计算各新方案i的经济评价系数yi。公式为:

❺ 计算各新方案i的技术经济综合评价系数Ki。公式为:

随便看

 

离鸟网收录3541549条中英文词条,其功能与新华字典、现代汉语词典、牛津高阶英汉词典等各类中英文词典类似,基本涵盖了全部常用中英文字词句的读音、释义及用法,是语言学习和写作的有利工具。

 

Copyright © 2004-2024 vtrois.com All Rights Reserved
更新时间:2026/4/6 23:12:55